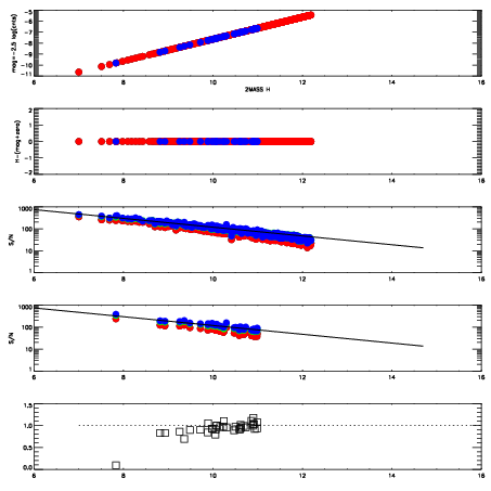
Left plots: red are targets, blue are telluric. Observed mags are calculated from median value of green chip. Zeropoint gives overall throughput: bigger number is more throughput.
First spatial plots: circles are objects, squares are tellurics, crosses are sky fibers. Colors give deviation of observed mag from expected 2MASS mag using the median zeropoint; red is brighter
Second spatial plots: circles are sky fibers. Colors give sky line brightness relative to plate median sky line brightness
FrameNreadsZeropointsMag plots Spatial mag deviation Spatial sky 16325A emission deviations (filled: sky, open: star) Spatial sky continuum emission Spatial sky telluric CO2 absorption deviations (filled: H < 10)
0 0
RedGreenBlue
z17.63
znorm Inf
sky -NaN -NaN -NaN
S/N 22.5 35.2 35.1
S/N(c) 0.0 0.0 0.0
SN(E/C) 0.95

IPAIRNAMESHIFTNEWSHIFTS/N NAMESHIFTNEWSHIFTS/N
0 05490039 0.488498 0.00000 18.7669 05490040 0.00369819 0.484800 18.8370
1 05490038 0.485807 0.00269100 18.6604 05490037 -0.000617984 0.489116 18.7046
2 05490034 0.484323 0.00417501 18.6324 05490036 0.00121490 0.487283 18.6383
3 05490035 0.485928 0.00257000 18.6019 05490033 0.00000 0.488498 18.3608