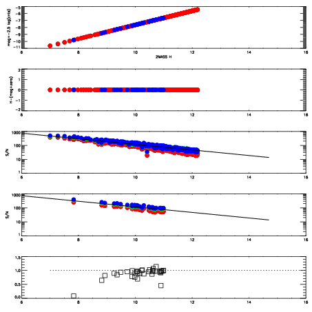
Left plots: red are targets, blue are telluric. Observed mags are calculated from median value of green chip. Zeropoint gives overall throughput: bigger number is more throughput.
First spatial plots: circles are objects, squares are tellurics, crosses are sky fibers. Colors give deviation of observed mag from expected 2MASS mag using the median zeropoint; red is brighter
Second spatial plots: circles are sky fibers. Colors give sky line brightness relative to plate median sky line brightness
FrameNreadsZeropointsMag plots Spatial mag deviation Spatial sky 16325A emission deviations (filled: sky, open: star) Spatial sky continuum emission Spatial sky telluric CO2 absorption deviations (filled: H < 10)
0 0
RedGreenBlue
z17.63
znorm Inf
sky -NaN -NaN -Inf
S/N 26.9 41.3 43.6
S/N(c) 0.0 0.0 0.0
SN(E/C) 0.95

IPAIRNAMESHIFTNEWSHIFTS/N NAMESHIFTNEWSHIFTS/N
0 09790028 0.515347 0.00000 18.7809 09790029 0.00294530 0.512402 18.7617
1 09790032 0.513369 0.00197798 18.9650 09790033 0.00167238 0.513675 19.0044
2 09790031 0.513759 0.00158799 18.9509 09790030 0.00248454 0.512862 18.9064
3 09790027 0.515170 0.000177026 18.7944 09790026 0.00000 0.515347 18.7866