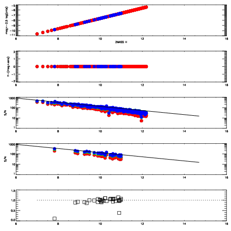
Left plots: red are targets, blue are telluric. Observed mags are calculated from median value of green chip. Zeropoint gives overall throughput: bigger number is more throughput.
First spatial plots: circles are objects, squares are tellurics, crosses are sky fibers. Colors give deviation of observed mag from expected 2MASS mag using the median zeropoint; red is brighter
Second spatial plots: circles are sky fibers. Colors give sky line brightness relative to plate median sky line brightness
FrameNreadsZeropointsMag plots Spatial mag deviation Spatial sky 16325A emission deviations (filled: sky, open: star) Spatial sky continuum emission Spatial sky telluric CO2 absorption deviations (filled: H < 10)
0 0
RedGreenBlue
z17.63
znorm Inf
sky -NaN -NaN -Inf
S/N 18.4 31.8 31.7
S/N(c) 0.0 0.0 0.0
SN(E/C) 0.99

IPAIRNAMESHIFTNEWSHIFTS/N NAMESHIFTNEWSHIFTS/N
0 11960054 0.505134 0.00000 18.0424 11960052 0.00000 0.505134 17.8711
1 11960061 0.504086 0.00104797 18.5492 11960060 0.00121122 0.503923 18.6125
2 11960057 0.504850 0.000284016 18.5307 11960059 0.000384939 0.504749 18.4219
3 11960058 0.504937 0.000196993 18.1834 11960056 0.00217464 0.502959 18.2845
4 11960053 0.504100 0.00103396 17.9905 11960055 0.00134484 0.503789 17.7984