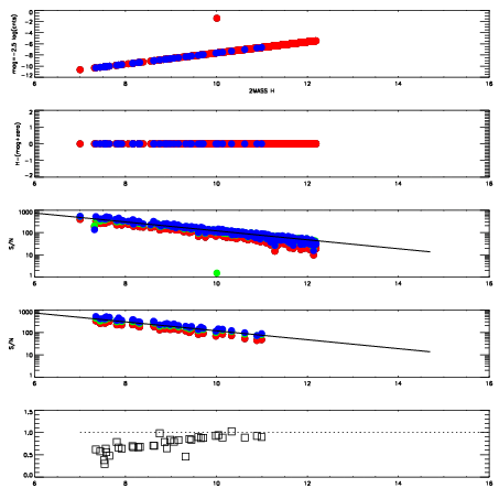
Left plots: red are targets, blue are telluric. Observed mags are calculated from median value of green chip. Zeropoint gives overall throughput: bigger number is more throughput.
First spatial plots: circles are objects, squares are tellurics, crosses are sky fibers. Colors give deviation of observed mag from expected 2MASS mag using the median zeropoint; red is brighter
Second spatial plots: circles are sky fibers. Colors give sky line brightness relative to plate median sky line brightness
FrameNreadsZeropointsMag plots Spatial mag deviation Spatial sky 16325A emission deviations (filled: sky, open: star) Spatial sky continuum emission Spatial sky telluric CO2 absorption deviations (filled: H < 10)
0 0
RedGreenBlue
z17.64
znorm Inf
sky -Inf -Inf -NaN
S/N 22.6 37.6 34.0
S/N(c) 0.0 0.0 0.0
SN(E/C) 0.78

IPAIRNAMESHIFTNEWSHIFTS/N NAMESHIFTNEWSHIFTS/N
0 09100028 0.484217 0.00000 18.6095 09100022 0.00000 0.484217 18.5965
1 09100027 0.482059 0.00215799 18.8611 09100026 0.00435948 0.479858 18.8343
2 09100024 0.476254 0.00796300 18.7973 09100029 0.00216506 0.482052 18.8051
3 09100023 0.475596 0.00862098 18.7729 09100025 0.00423818 0.479979 18.7883