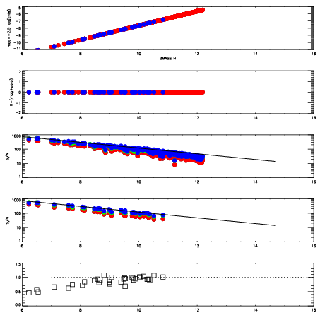
Left plots: red are targets, blue are telluric. Observed mags are calculated from median value of green chip. Zeropoint gives overall throughput: bigger number is more throughput.
First spatial plots: circles are objects, squares are tellurics, crosses are sky fibers. Colors give deviation of observed mag from expected 2MASS mag using the median zeropoint; red is brighter
Second spatial plots: circles are sky fibers. Colors give sky line brightness relative to plate median sky line brightness
FrameNreadsZeropointsMag plots Spatial mag deviation Spatial sky 16325A emission deviations (filled: sky, open: star) Spatial sky continuum emission Spatial sky telluric CO2 absorption deviations (filled: H < 10)
0 0
RedGreenBlue
z17.64
znorm Inf
sky -Inf -Inf -NaN
S/N 16.4 27.5 27.0
S/N(c) 0.0 0.0 0.0
SN(E/C) 0.90

IPAIRNAMESHIFTNEWSHIFTS/N NAMESHIFTNEWSHIFTS/N
0 09100038 0.483534 0.00000 16.7225 09100037 0.00338227 0.480152 15.0727
1 09100035 0.477637 0.00589702 18.8576 09100033 0.00000 0.483534 18.7201
2 09100034 0.480095 0.00343901 18.2483 09100040 0.00525642 0.478278 18.6624
3 09100039 0.481125 0.00240901 18.2321 09100036 0.00365114 0.479883 18.0420