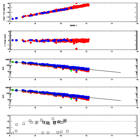
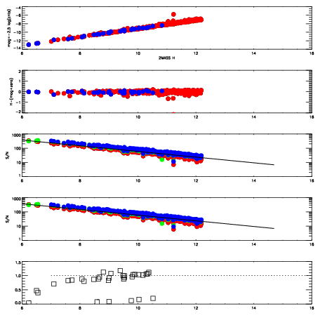
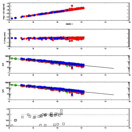
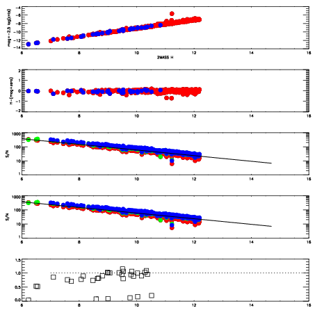
Left plots: red are targets, blue are telluric. Observed mags are calculated from median value of green chip. Zeropoint gives overall throughput: bigger number is more throughput.
First spatial plots: circles are objects, squares are tellurics, crosses are sky fibers. Colors give deviation of observed mag from expected 2MASS mag using the median zeropoint; red is brighter
Second spatial plots: circles are sky fibers. Colors give sky line brightness relative to plate median sky line brightness
FrameNreadsZeropointsMag plots Spatial mag deviation Spatial sky 16325A emission deviations (filled: sky, open: star) Spatial sky continuum emission Spatial sky telluric CO2 absorption deviations (filled: H < 10)
9980013 47
RedGreenBlue
z19.02
znorm14.84
sky 14.3 13.9 13.7
S/N 15.1 24.2 22.8
S/N(c) 20.1 5.3 12.7
SN(E/C) 0.90
9980014 47
RedGreenBlue
z19.15
znorm14.97
sky 14.3 14.0 13.9
S/N 16.4 25.5 24.4
S/N(c) 21.1 5.8 13.7
SN(E/C) 0.92
9980015 47
RedGreenBlue
z19.17
znorm14.99
sky 14.3 14.0 13.9
S/N 16.3 25.7 24.6
S/N(c) 21.6 5.9 13.8
SN(E/C) 0.91
9980016 47
RedGreenBlue
z19.17
znorm14.99
sky 14.3 14.1 13.9
S/N 16.4 25.4 24.6
S/N(c) 21.3 5.8 13.8
SN(E/C) 0.89