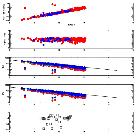
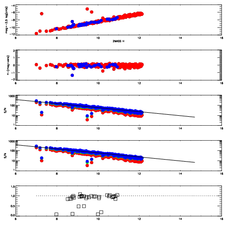
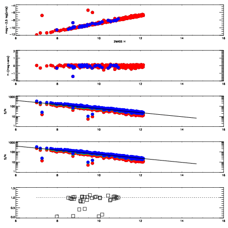
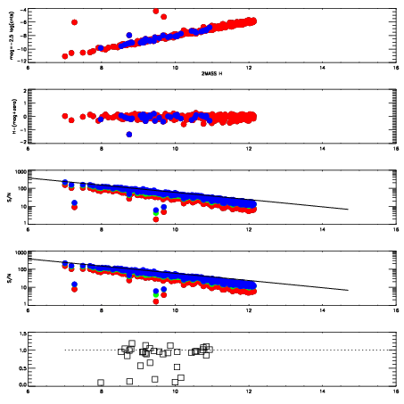
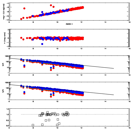
Frame | Nreads | Zeropoints | Mag plots
| Spatial mag deviation
| Spatial sky 16325A emission deviations (filled: sky, open: star)
| Spatial sky continuum emission
| Spatial sky telluric CO2 absorption deviations (filled: H < 10)
|
9090033
| 47
| | Red | Green | Blue
| z | | 18.86
| znorm | | 14.68
| sky | 14.4 | 14.3 | 14.2
| S/N | 14.4 | 23.3 | 24.2
| S/N(c) | 23.3 | 32.1 | 11.7
| SN(E/C) | 0.97
|
|
|
|
|
|
|
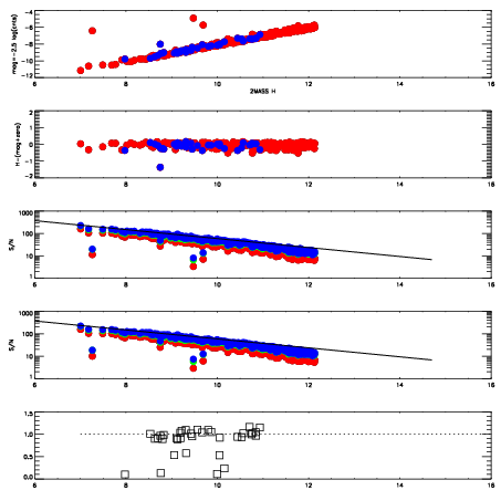
9090034
| 47
| | Red | Green | Blue
| z | | 17.45
| znorm | | 13.27
| sky | 13.8 | 13.8 | 13.9
| S/N | 4.4 | 8.5 | 8.9
| S/N(c) | 8.5 | 14.4 | 5.1
| SN(E/C) | 1.05
|
|
|
|
|
|
|
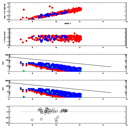
9090035
| 47
| | Red | Green | Blue
| z | | 18.13
| znorm | | 13.95
| sky | 14.0 | 13.9 | 14.1
| S/N | 8.1 | 14.0 | 14.8
| S/N(c) | 14.0 | 20.9 | 7.5
| SN(E/C) | 0.96
|
|
|
|
|
|
|
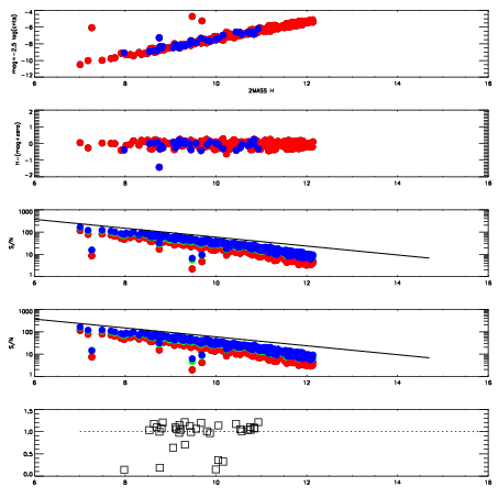
9090036
| 47
| | Red | Green | Blue
| z | | 18.31
| znorm | | 14.13
| sky | 14.0 | 14.1 | 14.2
| S/N | 9.1 | 15.9 | 16.6
| S/N(c) | 15.8 | 23.5 | 8.4
| SN(E/C) | 0.98
|
|
|
|
|
|
|
9090037
| 47
| | Red | Green | Blue
| z | | 18.53
| znorm | | 14.35
| sky | 14.2 | 14.3 | 14.5
| S/N | 10.9 | 18.5 | 19.6
| S/N(c) | 18.7 | 27.1 | 9.7
| SN(E/C) | 0.95
|
|
|
|
|
|
|
9090038
| 47
| | Red | Green | Blue
| z | | 18.38
| znorm | | 14.20
| sky | 14.4 | 14.5 | 14.5
| S/N | 10.0 | 16.9 | 18.6
| S/N(c) | 17.5 | 25.9 | 9.2
| SN(E/C) | 0.95
|
|
|
|
|
|
|
9090039
| 47
| | Red | Green | Blue
| z | | 18.04
| znorm | | 13.86
| sky | 14.1 | 14.0 | 14.1
| S/N | 7.5 | 13.4 | 14.9
| S/N(c) | 13.3 | 20.4 | 7.4
| SN(E/C) | 0.95
|
|
|
|
|
|
|
9090040
| 47
| | Red | Green | Blue
| z | | 15.30
| znorm | | 11.12
| sky | 13.5 | 13.5 | 13.7
| S/N | 0.5 | 1.1 | 1.2
| S/N(c) | 1.3 | 2.7 | 1.2
| SN(E/C) | 1.06
|
|
|
|
|
|
|