Frame | Cart | sec z | seeing | Nreads | Dither | Pixshift | Zero | sky continuum | S/N | S/N(cframe) |
10010011 | 5 | 1.09 | 1.43 | 47 | 0.00 | 0.00 | 19.01 | [14.46,14.35,14.17] | [ 15.8, 26.6, 26.5] | [ 13.7, 18.4, 4.7] |
10010012 | 5 | 1.09 | 1.68 | 47 | 0.47 | 0.00 | 18.96 | [14.60,14.63,14.75] | [ 15.2, 25.2, 26.3] | [ 13.3, 17.6, 4.7] |
IPAIR | NAME | SHIFT | NEWSHIFT | S/N | NAME | SHIFT | NEWSHIFT | S/N |
0 | 10010012 | 0.469 | 0.000 | 18.95 | 10010011 | 0.000 | 0.469 | 18.99 |
Visit (multiple exposure and dither combined) spectra
Frame | Zeropoints | Mag plots | Spatial mag deviation | Spatial sky telluric CH4 | Spatial sky telluric CO2 | Spatial sky telluric H2O | Spatial sky 16325A emission deviations (filled: sky, open: star) | Spatial sky continuum emission | ||||||||||||||||||||||||
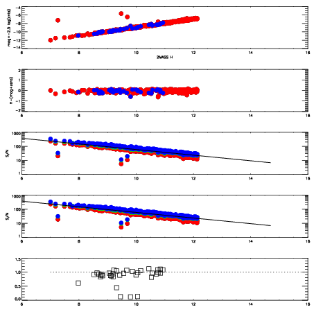
10010011 |
| ![]() | ![]() | ![]() | ![]() | ![]() | ![]() | ![]() | ||||||||||||||||||||||||
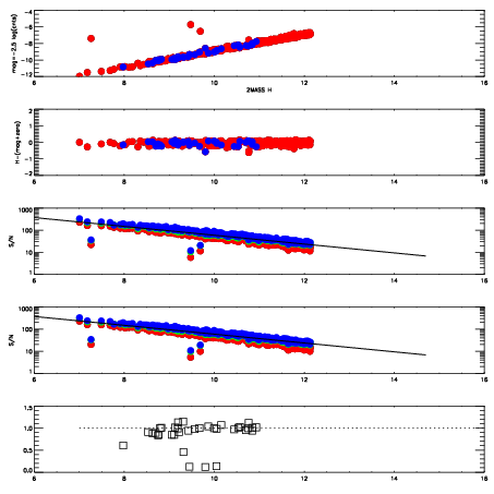
10010012 |
| ![]() | ![]() | ![]() | ![]() | ![]() | ![]() | ![]() |