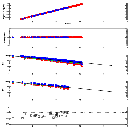
Left plots: red are targets, blue are telluric. Observed mags are calculated from median value of green chip. Zeropoint gives overall throughput: bigger number is more throughput.
First spatial plots: circles are objects, squares are tellurics, crosses are sky fibers. Colors give deviation of observed mag from expected 2MASS mag using the median zeropoint; red is brighter
Second spatial plots: circles are sky fibers. Colors give sky line brightness relative to plate median sky line brightness
FrameNreadsZeropointsMag plots Spatial mag deviation Spatial sky 16325A emission deviations (filled: sky, open: star) Spatial sky continuum emission Spatial sky telluric CO2 absorption deviations (filled: H < 10)
0 0
RedGreenBlue
z17.64
znorm Inf
sky -Inf -Inf -Inf
S/N 25.9 45.2 49.6
S/N(c) 0.0 0.0 0.0
SN(E/C) 0.82

IPAIRNAMESHIFTNEWSHIFTS/N NAMESHIFTNEWSHIFTS/N
0 10490029 0.498977 0.00000 18.8208 10490035 -0.000854363 0.499831 19.0092
1 10490033 0.498728 0.000248998 19.0231 10490028 0.00000 0.498977 19.0252
2 10490030 0.498952 2.50041e-05 19.0132 10490032 -0.000999446 0.499976 19.0192
3 10490034 0.498761 0.000216007 18.9831 10490031 -0.000717229 0.499694 19.0144