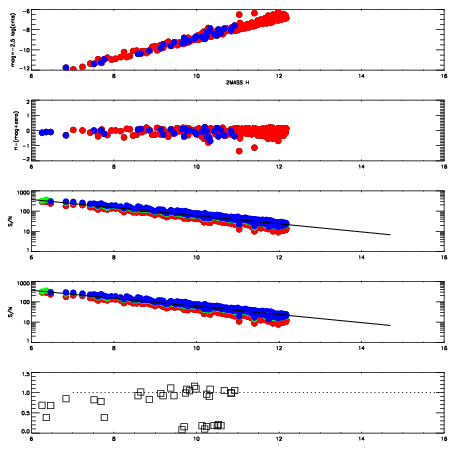
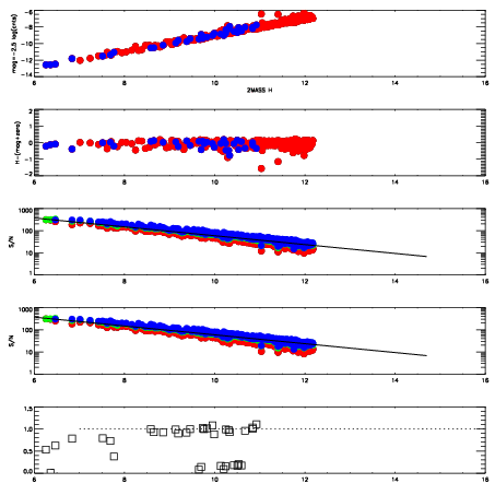
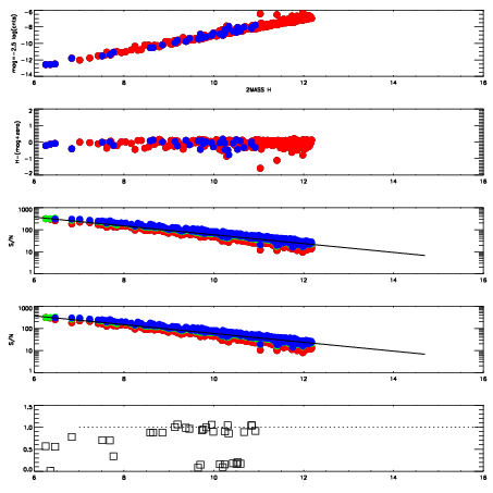
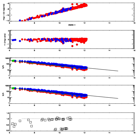
Frame | Nreads | Zeropoints | Mag plots
| Spatial mag deviation
| Spatial sky 16325A emission deviations (filled: sky, open: star)
| Spatial sky continuum emission
| Spatial sky telluric CO2 absorption deviations (filled: H < 10)
|
3100032
| 47
| | Red | Green | Blue
| z | | 19.02
| znorm | | 14.84
| sky | 14.7 | 14.4 | 14.4
| S/N | 15.4 | 23.6 | 25.0
| S/N(c) | 26.0 | 35.4 | 16.3
| SN(E/C) | 0.84
|
|
|
|
|
|
|
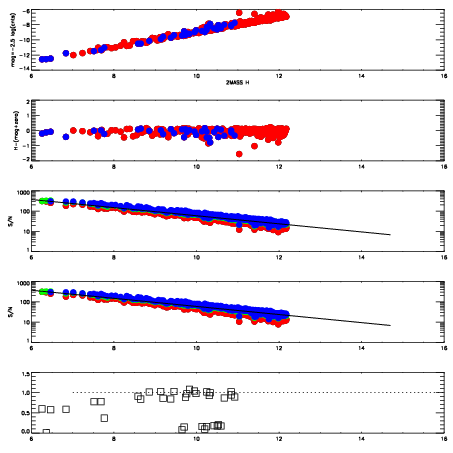
3100033
| 47
| | Red | Green | Blue
| z | | 19.05
| znorm | | 14.87
| sky | 14.6 | 14.3 | 14.3
| S/N | 15.4 | 23.9 | 25.5
| S/N(c) | 26.4 | 35.8 | 16.6
| SN(E/C) | 0.88
|
|
|
|
|
|
|
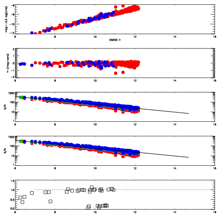
3100034
| 47
| | Red | Green | Blue
| z | | 19.04
| znorm | | 14.86
| sky | 14.5 | 14.4 | 14.3
| S/N | 15.3 | 23.7 | 25.1
| S/N(c) | 26.3 | 35.4 | 16.5
| SN(E/C) | 0.90
|
|
|
|
|
|
|
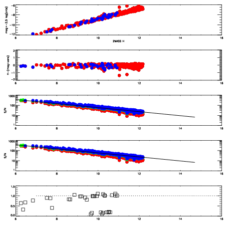
3100035
| 47
| | Red | Green | Blue
| z | | 18.77
| znorm | | 14.59
| sky | 14.6 | 14.5 | 14.4
| S/N | 12.9 | 20.7 | 21.8
| S/N(c) | 22.5 | 31.0 | 14.6
| SN(E/C) | 0.89
|
|
|
|
|
|
|
3100036
| 47
| | Red | Green | Blue
| z | | 18.94
| znorm | | 14.76
| sky | 14.6 | 14.5 | 14.4
| S/N | 14.3 | 22.7 | 24.2
| S/N(c) | 24.6 | 33.9 | 15.9
| SN(E/C) | 0.89
|
|
|
|
|
|
|
3100037
| 47
| | Red | Green | Blue
| z | | 18.90
| znorm | | 14.72
| sky | 14.5 | 14.5 | 14.4
| S/N | 13.8 | 22.3 | 23.6
| S/N(c) | 23.9 | 33.5 | 15.5
| SN(E/C) | 0.90
|
|
|
|
|
|
|
3100038
| 47
| | Red | Green | Blue
| z | | 18.92
| znorm | | 14.74
| sky | 14.7 | 14.6 | 14.4
| S/N | 14.0 | 22.5 | 23.6
| S/N(c) | 24.6 | 33.8 | 15.6
| SN(E/C) | 0.91
|
|
|
|
|
|
|
3100039
| 47
| | Red | Green | Blue
| z | | 18.89
| znorm | | 14.71
| sky | 14.8 | 14.5 | 14.5
| S/N | 13.7 | 22.2 | 22.9
| S/N(c) | 24.0 | 33.3 | 15.7
| SN(E/C) | 0.88
|
|
|
|
|
|
|