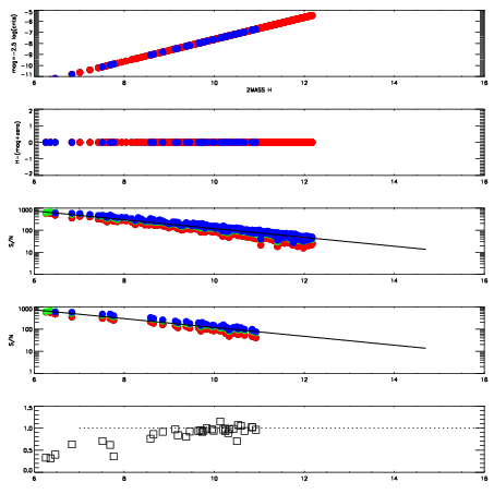
Left plots: red are targets, blue are telluric. Observed mags are calculated from median value of green chip. Zeropoint gives overall throughput: bigger number is more throughput.
First spatial plots: circles are objects, squares are tellurics, crosses are sky fibers. Colors give deviation of observed mag from expected 2MASS mag using the median zeropoint; red is brighter
Second spatial plots: circles are sky fibers. Colors give sky line brightness relative to plate median sky line brightness
FrameNreadsZeropointsMag plots Spatial mag deviation Spatial sky 16325A emission deviations (filled: sky, open: star) Spatial sky continuum emission Spatial sky telluric CO2 absorption deviations (filled: H < 10)
0 0
RedGreenBlue
z17.64
znorm Inf
sky -Inf -Inf -Inf
S/N 25.2 41.5 44.6
S/N(c) 0.0 0.0 0.0
SN(E/C) 0.93

IPAIRNAMESHIFTNEWSHIFTS/N NAMESHIFTNEWSHIFTS/N
0 03100034 0.496199 0.00000 19.0199 03100036 -0.00445136 0.500650 18.9253
1 03100033 0.496000 0.000199020 19.0221 03100032 0.00000 0.496199 18.9935
2 03100038 0.493212 0.00298700 18.8942 03100039 -0.00193847 0.498137 18.8642
3 03100037 0.492463 0.00373602 18.8811 03100035 -0.00389154 0.500091 18.7495