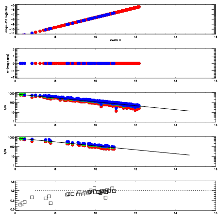
Left plots: red are targets, blue are telluric. Observed mags are calculated from median value of green chip. Zeropoint gives overall throughput: bigger number is more throughput.
First spatial plots: circles are objects, squares are tellurics, crosses are sky fibers. Colors give deviation of observed mag from expected 2MASS mag using the median zeropoint; red is brighter
Second spatial plots: circles are sky fibers. Colors give sky line brightness relative to plate median sky line brightness
FrameNreadsZeropointsMag plots Spatial mag deviation Spatial sky 16325A emission deviations (filled: sky, open: star) Spatial sky continuum emission Spatial sky telluric CO2 absorption deviations (filled: H < 10)
0 0
RedGreenBlue
z17.64
znorm Inf
sky -Inf -Inf -Inf
S/N 26.2 42.9 45.1
S/N(c) 0.0 0.0 0.0
SN(E/C) 0.91

IPAIRNAMESHIFTNEWSHIFTS/N NAMESHIFTNEWSHIFTS/N
0 03340016 0.509523 0.00000 19.0494 03340017 -0.00276954 0.512293 19.0936
1 03340012 0.508466 0.00105697 19.0361 03340013 -0.00359925 0.513122 19.0759
2 03340011 0.504875 0.00464797 19.0336 03340010 0.00000 0.509523 19.0115
3 03340015 0.504312 0.00521100 19.0273 03340014 -0.00489714 0.514420 18.9239