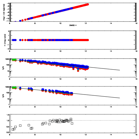
Left plots: red are targets, blue are telluric. Observed mags are calculated from median value of green chip. Zeropoint gives overall throughput: bigger number is more throughput.
First spatial plots: circles are objects, squares are tellurics, crosses are sky fibers. Colors give deviation of observed mag from expected 2MASS mag using the median zeropoint; red is brighter
Second spatial plots: circles are sky fibers. Colors give sky line brightness relative to plate median sky line brightness
FrameNreadsZeropointsMag plots Spatial mag deviation Spatial sky 16325A emission deviations (filled: sky, open: star) Spatial sky continuum emission Spatial sky telluric CO2 absorption deviations (filled: H < 10)
0 0
RedGreenBlue
z17.64
znorm Inf
sky -Inf -NaN -Inf
S/N 26.9 44.5 46.4
S/N(c) 0.0 0.0 0.0
SN(E/C) 0.91

IPAIRNAMESHIFTNEWSHIFTS/N NAMESHIFTNEWSHIFTS/N
0 03410014 0.506011 0.00000 19.1291 03410015 0.00290642 0.503105 19.1507
1 03410010 0.505674 0.000337005 19.1152 03410011 0.00191716 0.504094 19.1334
2 03410013 0.499685 0.00632602 19.0901 03410012 0.00211876 0.503892 19.1007
3 03410009 0.499570 0.00644100 19.0461 03410008 0.00000 0.506011 17.8143