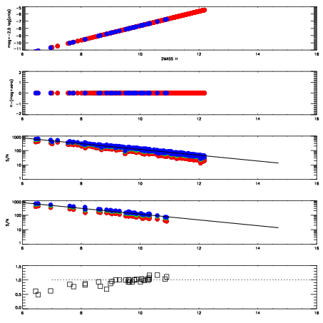
Left plots: red are targets, blue are telluric. Observed mags are calculated from median value of green chip. Zeropoint gives overall throughput: bigger number is more throughput.
First spatial plots: circles are objects, squares are tellurics, crosses are sky fibers. Colors give deviation of observed mag from expected 2MASS mag using the median zeropoint; red is brighter
Second spatial plots: circles are sky fibers. Colors give sky line brightness relative to plate median sky line brightness
FrameNreadsZeropointsMag plots Spatial mag deviation Spatial sky 16325A emission deviations (filled: sky, open: star) Spatial sky continuum emission Spatial sky telluric CO2 absorption deviations (filled: H < 10)
0 0
RedGreenBlue
z17.64
znorm Inf
sky -Inf -Inf -Inf
S/N 22.2 38.4 40.5
S/N(c) 0.0 0.0 0.0
SN(E/C) 0.99

IPAIRNAMESHIFTNEWSHIFTS/N NAMESHIFTNEWSHIFTS/N
0 02820063 0.413493 0.00000 18.8074 02820064 0.000923688 0.412569 18.8793
1 02820062 0.411025 0.00246802 18.9359 02820061 -0.00160429 0.415097 18.8930
2 02820059 0.412496 0.000997007 18.7148 02820060 -0.000963341 0.414456 18.7985
3 02820058 0.410524 0.00296900 18.4437 02820057 0.00000 0.413493 18.3411