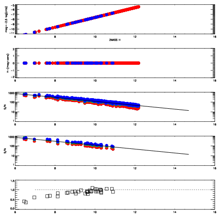
Left plots: red are targets, blue are telluric. Observed mags are calculated from median value of green chip. Zeropoint gives overall throughput: bigger number is more throughput.
First spatial plots: circles are objects, squares are tellurics, crosses are sky fibers. Colors give deviation of observed mag from expected 2MASS mag using the median zeropoint; red is brighter
Second spatial plots: circles are sky fibers. Colors give sky line brightness relative to plate median sky line brightness
FrameNreadsZeropointsMag plots Spatial mag deviation Spatial sky 16325A emission deviations (filled: sky, open: star) Spatial sky continuum emission Spatial sky telluric CO2 absorption deviations (filled: H < 10)
0 0
RedGreenBlue
z17.64
znorm Inf
sky -Inf -Inf -Inf
S/N 25.8 42.2 43.7
S/N(c) 0.0 0.0 0.0
SN(E/C) 0.90

IPAIRNAMESHIFTNEWSHIFTS/N NAMESHIFTNEWSHIFTS/N
0 02880051 0.406787 0.00000 19.0740 02880053 -0.00209283 0.408880 18.9960
1 02880054 0.402835 0.00395200 19.1048 02880049 0.00000 0.406787 19.0999
2 02880050 0.405961 0.000826001 19.0973 02880056 -0.000966940 0.407754 19.0375
3 02880055 0.404326 0.00246102 19.0430 02880052 0.000362182 0.406425 18.9079