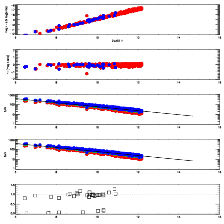
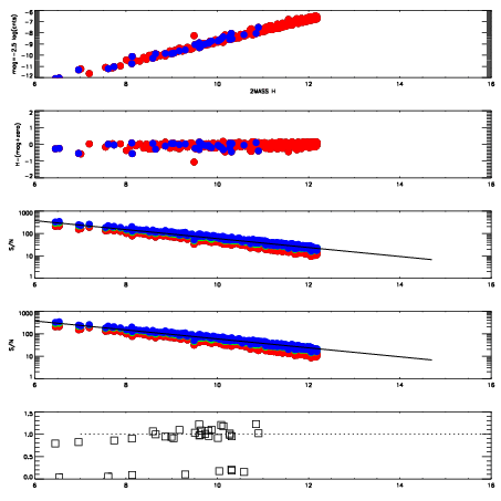
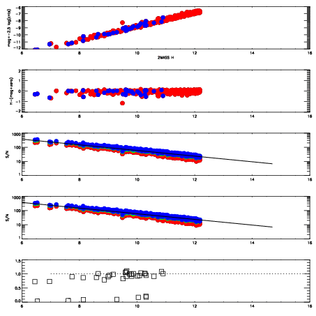
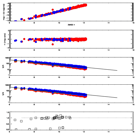
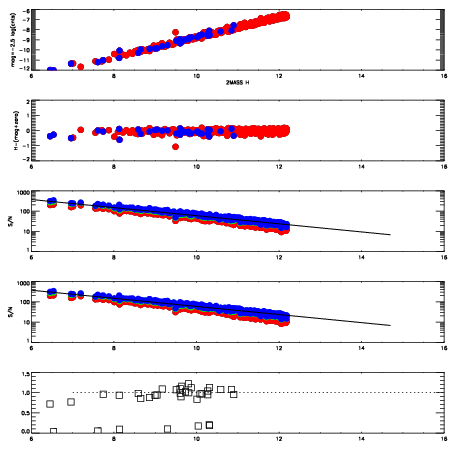
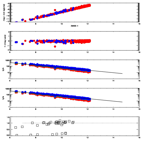
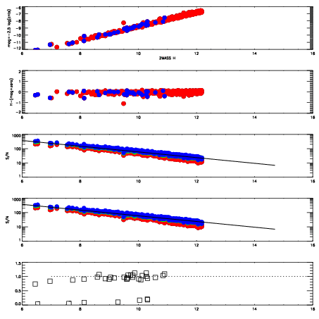
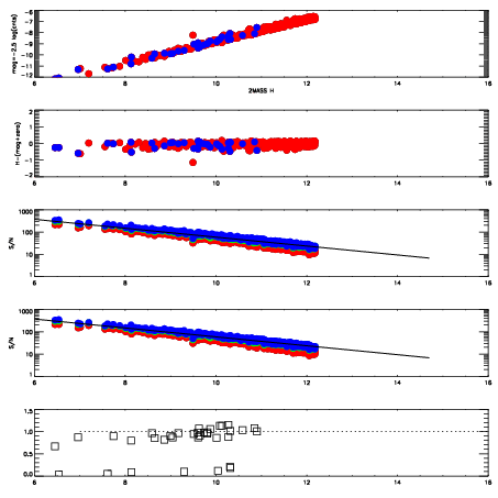
Frame | Nreads | Zeropoints | Mag plots
| Spatial mag deviation
| Spatial sky 16325A emission deviations (filled: sky, open: star)
| Spatial sky continuum emission
| Spatial sky telluric CO2 absorption deviations (filled: H < 10)
|
3090045
| 47
| | Red | Green | Blue
| z | | 18.81
| znorm | | 14.63
| sky | 15.1 | 14.7 | 14.7
| S/N | 13.2 | 21.8 | 21.8
| S/N(c) | 16.6 | 14.1 | 3.0
| SN(E/C) | 0.95
|
|
|
|
|
|
|
3090046
| 47
| | Red | Green | Blue
| z | | 18.87
| znorm | | 14.69
| sky | 15.1 | 14.8 | 15.1
| S/N | 13.4 | 22.7 | 22.7
| S/N(c) | 16.8 | 14.6 | 3.1
| SN(E/C) | 0.96
|
|
|
|
|
|
|
3090047
| 47
| | Red | Green | Blue
| z | | 18.93
| znorm | | 14.75
| sky | 15.2 | 14.9 | 14.9
| S/N | 13.9 | 23.0 | 23.5
| S/N(c) | 17.4 | 14.8 | 3.2
| SN(E/C) | 0.94
|
|
|
|
|
|
|
3090048
| 47
| | Red | Green | Blue
| z | | 18.84
| znorm | | 14.66
| sky | 14.9 | 14.7 | 15.0
| S/N | 13.2 | 21.7 | 22.5
| S/N(c) | 16.5 | 14.2 | 3.1
| SN(E/C) | 0.93
|
|
|
|
|
|
|
3090049
| 47
| | Red | Green | Blue
| z | | 18.80
| znorm | | 14.62
| sky | 15.2 | 14.8 | 14.9
| S/N | 12.7 | 21.3 | 22.1
| S/N(c) | 16.1 | 14.0 | 3.0
| SN(E/C) | 0.96
|
|
|
|
|
|
|
3090050
| 47
| | Red | Green | Blue
| z | | 18.91
| znorm | | 14.73
| sky | 15.5 | 14.9 | 14.9
| S/N | 13.3 | 22.5 | 23.3
| S/N(c) | 17.2 | 14.7 | 3.2
| SN(E/C) | 0.99
|
|
|
|
|
|
|
3090051
| 47
| | Red | Green | Blue
| z | | 18.90
| znorm | | 14.72
| sky | 15.0 | 14.8 | 14.9
| S/N | 13.7 | 22.3 | 22.8
| S/N(c) | 17.0 | 14.6 | 3.2
| SN(E/C) | 0.92
|
|
|
|
|
|
|
3090052
| 47
| | Red | Green | Blue
| z | | 18.85
| znorm | | 14.67
| sky | 15.2 | 14.9 | 14.9
| S/N | 13.1 | 21.8 | 22.3
| S/N(c) | 16.7 | 14.3 | 3.1
| SN(E/C) | 0.90
|
|
|
|
|
|
|