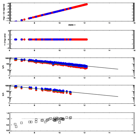
Left plots: red are targets, blue are telluric. Observed mags are calculated from median value of green chip. Zeropoint gives overall throughput: bigger number is more throughput.
First spatial plots: circles are objects, squares are tellurics, crosses are sky fibers. Colors give deviation of observed mag from expected 2MASS mag using the median zeropoint; red is brighter
Second spatial plots: circles are sky fibers. Colors give sky line brightness relative to plate median sky line brightness
FrameNreadsZeropointsMag plots Spatial mag deviation Spatial sky 16325A emission deviations (filled: sky, open: star) Spatial sky continuum emission Spatial sky telluric CO2 absorption deviations (filled: H < 10)
0 0
RedGreenBlue
z17.64
znorm Inf
sky -Inf -Inf -Inf
S/N 23.4 40.5 42.8
S/N(c) 0.0 0.0 0.0
SN(E/C) 0.94

IPAIRNAMESHIFTNEWSHIFTS/N NAMESHIFTNEWSHIFTS/N
0 03090051 0.486096 0.00000 18.8916 03090045 0.00000 0.486096 18.8019
1 03090047 0.486082 1.40071e-05 18.9128 03090052 0.00277819 0.483318 18.8416
2 03090050 0.485536 0.000559986 18.8963 03090048 0.00216064 0.483935 18.8300
3 03090046 0.485464 0.000631988 18.8599 03090049 0.000167565 0.485928 18.7850