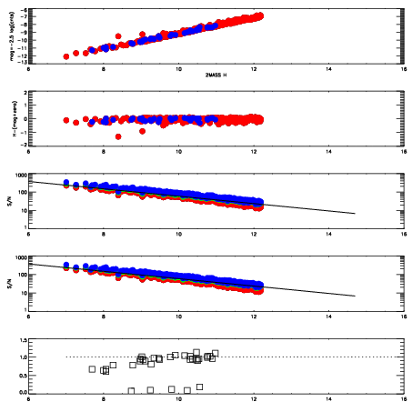
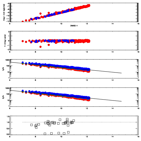
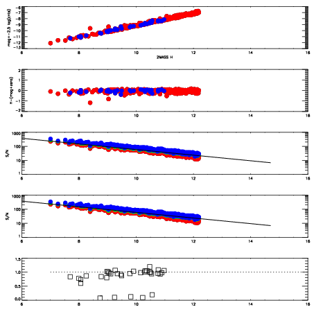
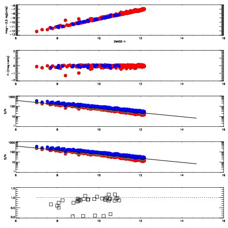
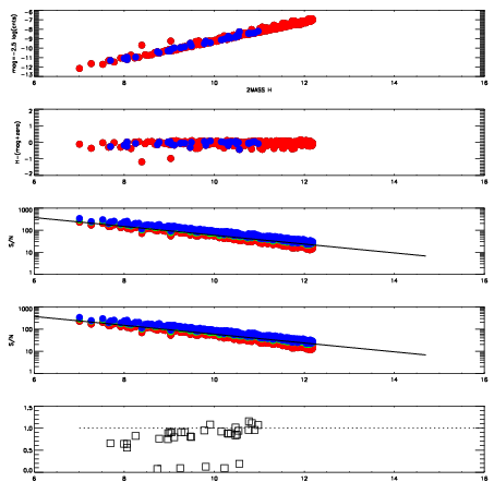
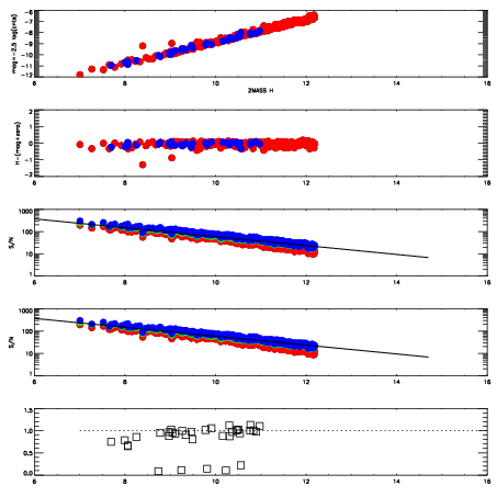
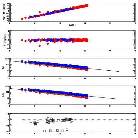
Frame | Nreads | Zeropoints | Mag plots
| Spatial mag deviation
| Spatial sky 16325A emission deviations (filled: sky, open: star)
| Spatial sky continuum emission
| Spatial sky telluric CO2 absorption deviations (filled: H < 10)
|
2910038
| 47
| | Red | Green | Blue
| z | | 19.18
| znorm | | 15.00
| sky | 15.3 | 14.8 | 15.2
| S/N | 16.0 | 26.2 | 26.4
| S/N(c) | 19.8 | 26.6 | 12.9
| SN(E/C) | 0.95
|
|
|
|
|
|
|
2910039
| 47
| | Red | Green | Blue
| z | | 19.19
| znorm | | 15.01
| sky | 15.2 | 14.8 | 15.4
| S/N | 15.8 | 26.3 | 26.6
| S/N(c) | 19.6 | 26.6 | 13.1
| SN(E/C) | 0.91
|
|
|
|
|
|
|
2910040
| 47
| | Red | Green | Blue
| z | | 19.19
| znorm | | 15.01
| sky | 15.3 | 14.8 | 15.3
| S/N | 15.6 | 26.3 | 26.8
| S/N(c) | 19.7 | 26.9 | 13.1
| SN(E/C) | 0.92
|
|
|
|
|
|
|
2910041
| 47
| | Red | Green | Blue
| z | | 18.88
| znorm | | 14.70
| sky | 14.6 | 14.6 | 14.7
| S/N | 12.6 | 21.7 | 21.8
| S/N(c) | 16.7 | 22.8 | 11.0
| SN(E/C) | 0.95
|
|
|
|
|
|
|
2910042
| 47
| | Red | Green | Blue
| z | | 19.07
| znorm | | 14.89
| sky | 15.1 | 14.9 | 14.9
| S/N | 14.2 | 24.1 | 25.0
| S/N(c) | 18.6 | 25.2 | 12.2
| SN(E/C) | 0.91
|
|
|
|
|
|
|
2910043
| 47
| | Red | Green | Blue
| z | | 19.20
| znorm | | 15.02
| sky | 14.9 | 15.0 | 15.1
| S/N | 15.6 | 25.9 | 27.3
| S/N(c) | 20.0 | 26.9 | 13.1
| SN(E/C) | 0.93
|
|
|
|
|
|
|
2910044
| 47
| | Red | Green | Blue
| z | | 19.24
| znorm | | 15.06
| sky | 15.2 | 15.1 | 15.1
| S/N | 15.9 | 26.3 | 28.0
| S/N(c) | 20.4 | 27.3 | 13.4
| SN(E/C) | 0.88
|
|
|
|
|
|
|
2910045
| 47
| | Red | Green | Blue
| z | | 19.26
| znorm | | 15.08
| sky | 15.2 | 14.9 | 15.2
| S/N | 15.7 | 26.5 | 28.5
| S/N(c) | 20.6 | 27.8 | 13.7
| SN(E/C) | 0.87
|
|
|
|
|
|
|