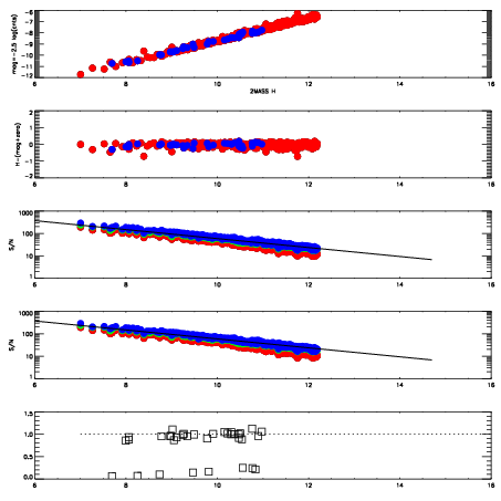
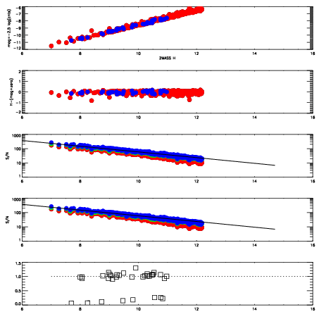
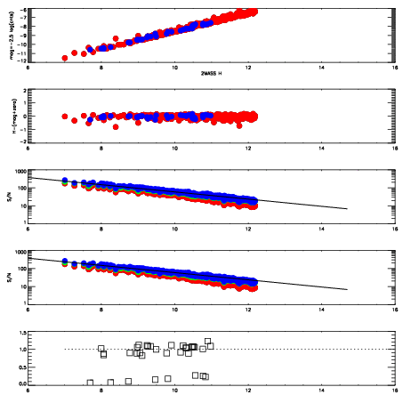
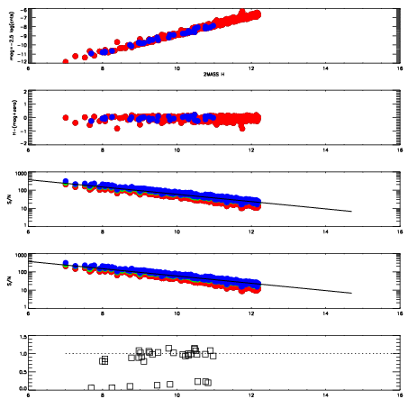
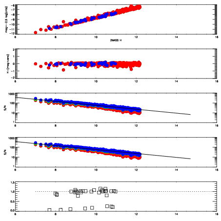
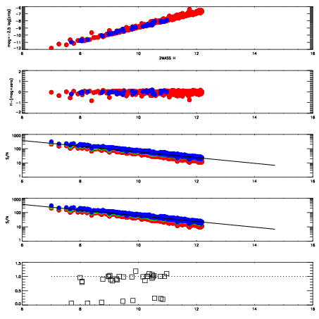
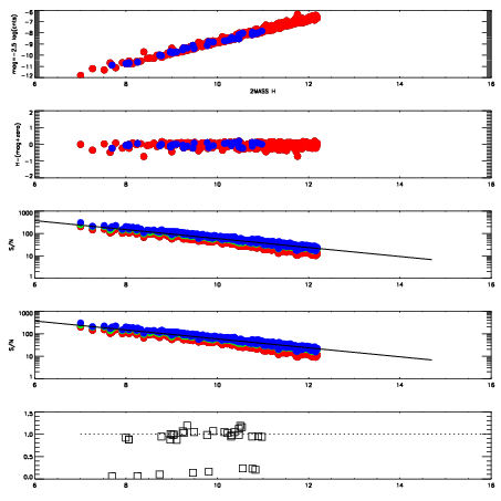
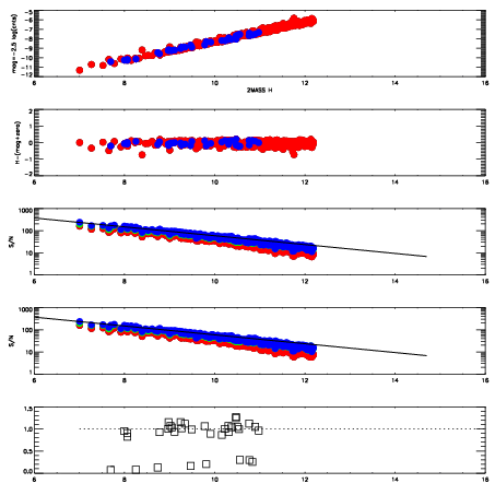
Frame | Nreads | Zeropoints | Mag plots
| Spatial mag deviation
| Spatial sky 16325A emission deviations (filled: sky, open: star)
| Spatial sky continuum emission
| Spatial sky telluric CO2 absorption deviations (filled: H < 10)
|
3070056
| 47
| | Red | Green | Blue
| z | | 18.31
| znorm | | 14.13
| sky | 14.7 | 14.4 | 14.4
| S/N | 8.5 | 15.2 | 15.4
| S/N(c) | 15.1 | 17.4 | 4.0
| SN(E/C) | 0.99
|
|
|
|
|
|
|
3070057
| 47
| | Red | Green | Blue
| z | | 18.87
| znorm | | 14.69
| sky | 15.0 | 14.5 | 14.9
| S/N | 12.8 | 21.1 | 22.4
| S/N(c) | 21.4 | 23.3 | 5.5
| SN(E/C) | 0.95
|
|
|
|
|
|
|
3070058
| 47
| | Red | Green | Blue
| z | | 18.81
| znorm | | 14.63
| sky | 15.6 | 14.7 | 14.9
| S/N | 12.2 | 21.0 | 22.2
| S/N(c) | 21.0 | 23.2 | 5.4
| SN(E/C) | 0.95
|
|
|
|
|
|
|
3070059
| 47
| | Red | Green | Blue
| z | | 18.69
| znorm | | 14.51
| sky | 15.1 | 14.9 | 14.9
| S/N | 11.1 | 19.4 | 20.4
| S/N(c) | 19.1 | 21.3 | 5.0
| SN(E/C) | 0.99
|
|
|
|
|
|
|
3070060
| 47
| | Red | Green | Blue
| z | | 18.86
| znorm | | 14.68
| sky | 14.9 | 14.9 | 15.1
| S/N | 12.5 | 21.6 | 23.2
| S/N(c) | 21.5 | 23.4 | 5.5
| SN(E/C) | 0.96
|
|
|
|
|
|
|
3070061
| 47
| | Red | Green | Blue
| z | | 18.57
| znorm | | 14.39
| sky | 15.1 | 14.9 | 14.9
| S/N | 10.5 | 18.1 | 19.1
| S/N(c) | 17.9 | 20.1 | 4.7
| SN(E/C) | 1.00
|
|
|
|
|
|
|
3070062
| 47
| | Red | Green | Blue
| z | | 18.54
| znorm | | 14.36
| sky | 15.1 | 15.0 | 15.0
| S/N | 9.9 | 17.7 | 18.9
| S/N(c) | 17.6 | 20.1 | 4.6
| SN(E/C) | 1.00
|
|
|
|
|
|
|
3070063
| 47
| | Red | Green | Blue
| z | | 18.73
| znorm | | 14.55
| sky | 15.0 | 15.0 | 15.0
| S/N | 11.5 | 19.7 | 21.0
| S/N(c) | 19.8 | 22.0 | 5.1
| SN(E/C) | 0.95
|
|
|
|
|
|
|