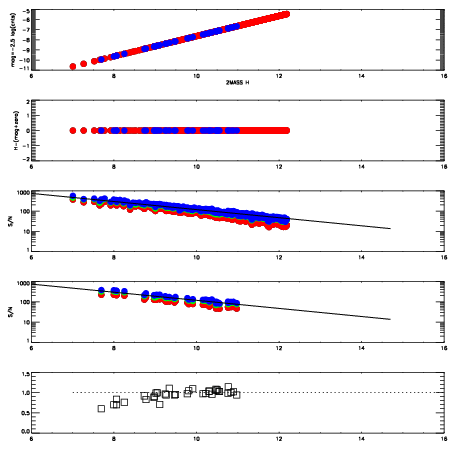
Left plots: red are targets, blue are telluric. Observed mags are calculated from median value of green chip. Zeropoint gives overall throughput: bigger number is more throughput.
First spatial plots: circles are objects, squares are tellurics, crosses are sky fibers. Colors give deviation of observed mag from expected 2MASS mag using the median zeropoint; red is brighter
Second spatial plots: circles are sky fibers. Colors give sky line brightness relative to plate median sky line brightness
FrameNreadsZeropointsMag plots Spatial mag deviation Spatial sky 16325A emission deviations (filled: sky, open: star) Spatial sky continuum emission Spatial sky telluric CO2 absorption deviations (filled: H < 10)
0 0
RedGreenBlue
z17.64
znorm Inf
sky -Inf -Inf -Inf
S/N 19.7 36.4 39.0
S/N(c) 0.0 0.0 0.0
SN(E/C) 0.97

IPAIRNAMESHIFTNEWSHIFTS/N NAMESHIFTNEWSHIFTS/N
0 03070062 0.505863 0.00000 18.5285 03070056 0.00000 0.505863 18.3002
1 03070057 0.503867 0.00199604 18.8563 03070060 0.00347821 0.502385 18.8487
2 03070058 0.504594 0.00126898 18.7987 03070063 0.00568653 0.500176 18.7104
3 03070061 0.504561 0.00130200 18.5533 03070059 0.00698855 0.498874 18.6754