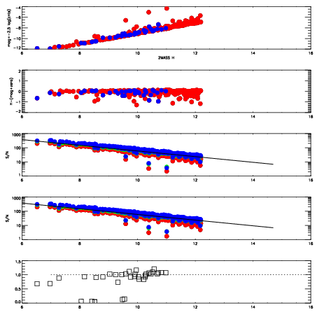
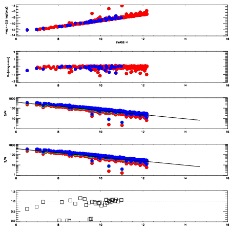
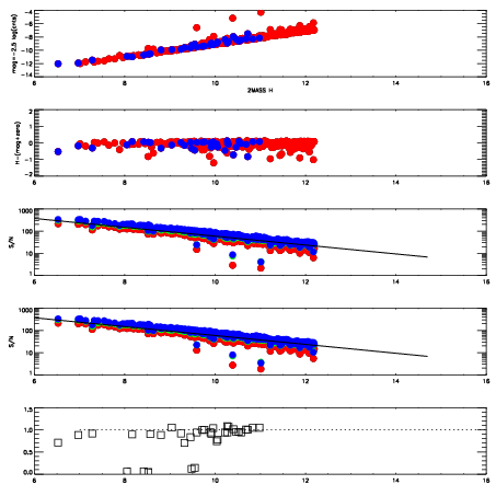
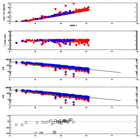
Frame | Nreads | Zeropoints | Mag plots
| Spatial mag deviation
| Spatial sky 16325A emission deviations (filled: sky, open: star)
| Spatial sky continuum emission
| Spatial sky telluric CO2 absorption deviations (filled: H < 10)
|
2900058
| 47
| | Red | Green | Blue
| z | | 19.09
| znorm | | 14.91
| sky | 15.1 | 14.6 | 14.7
| S/N | 16.2 | 25.4 | 25.7
| S/N(c) | 16.2 | 19.7 | 14.9
| SN(E/C) | 0.95
|
|
|
|
|
|
|
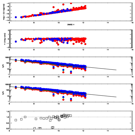
2900059
| 47
| | Red | Green | Blue
| z | | 19.07
| znorm | | 14.89
| sky | 15.0 | 14.7 | 14.8
| S/N | 16.0 | 25.5 | 25.9
| S/N(c) | 16.1 | 19.5 | 14.8
| SN(E/C) | 0.93
|
|
|
|
|
|
|
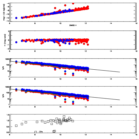
2900060
| 47
| | Red | Green | Blue
| z | | 19.07
| znorm | | 14.89
| sky | 15.1 | 14.7 | 14.7
| S/N | 16.1 | 25.6 | 25.6
| S/N(c) | 16.0 | 19.5 | 14.9
| SN(E/C) | 0.94
|
|
|
|
|
|
|
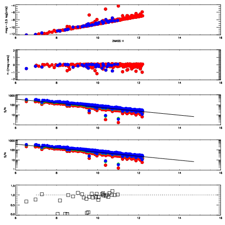
2900061
| 47
| | Red | Green | Blue
| z | | 19.07
| znorm | | 14.89
| sky | 14.8 | 14.8 | 14.8
| S/N | 16.0 | 25.4 | 26.0
| S/N(c) | 16.0 | 19.5 | 14.9
| SN(E/C) | 0.94
|
|
|
|
|
|
|
2900062
| 47
| | Red | Green | Blue
| z | | 19.02
| znorm | | 14.84
| sky | 14.8 | 14.7 | 15.0
| S/N | 15.6 | 24.9 | 25.6
| S/N(c) | 15.6 | 19.0 | 14.4
| SN(E/C) | 0.94
|
|
|
|
|
|
|
2900063
| 47
| | Red | Green | Blue
| z | | 19.08
| znorm | | 14.90
| sky | 15.2 | 15.1 | 14.9
| S/N | 16.1 | 25.7 | 26.8
| S/N(c) | 16.1 | 19.9 | 14.9
| SN(E/C) | 0.95
|
|
|
|
|
|
|
2900064
| 47
| | Red | Green | Blue
| z | | 19.08
| znorm | | 14.90
| sky | 15.2 | 15.0 | 14.9
| S/N | 16.1 | 25.3 | 26.9
| S/N(c) | 16.2 | 19.9 | 14.9
| SN(E/C) | 0.96
|
|
|
|
|
|
|
2900065
| 47
| | Red | Green | Blue
| z | | 19.02
| znorm | | 14.84
| sky | 15.0 | 15.0 | 14.8
| S/N | 15.6 | 24.7 | 26.2
| S/N(c) | 15.5 | 19.1 | 14.4
| SN(E/C) | 0.94
|
|
|
|
|
|
|