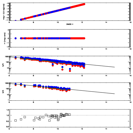
Left plots: red are targets, blue are telluric. Observed mags are calculated from median value of green chip. Zeropoint gives overall throughput: bigger number is more throughput.
First spatial plots: circles are objects, squares are tellurics, crosses are sky fibers. Colors give deviation of observed mag from expected 2MASS mag using the median zeropoint; red is brighter
Second spatial plots: circles are sky fibers. Colors give sky line brightness relative to plate median sky line brightness
FrameNreadsZeropointsMag plots Spatial mag deviation Spatial sky 16325A emission deviations (filled: sky, open: star) Spatial sky continuum emission Spatial sky telluric CO2 absorption deviations (filled: H < 10)
0 0
RedGreenBlue
z17.64
znorm Inf
sky -NaN -NaN -Inf
S/N 26.9 45.1 47.4
S/N(c) 0.0 0.0 0.0
SN(E/C) 0.91

IPAIRNAMESHIFTNEWSHIFTS/N NAMESHIFTNEWSHIFTS/N
0 02900064 0.399837 0.00000 19.0686 02900061 0.00265772 0.397179 19.0505
1 02900063 0.397124 0.00271299 19.0719 02900058 0.00000 0.399837 19.0699
2 02900059 0.397184 0.00265297 19.0610 02900062 0.000480157 0.399357 19.0101
3 02900060 0.399187 0.000649989 19.0495 02900065 0.00183751 0.397999 19.0067