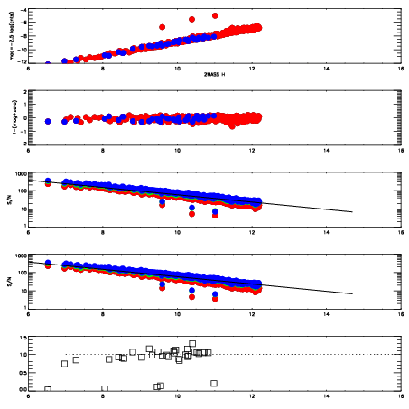
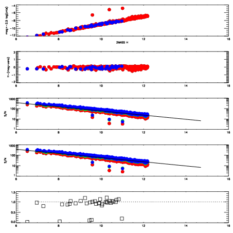
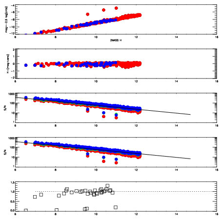
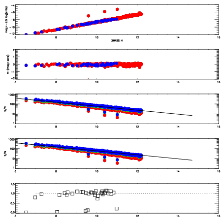
Frame | Nreads | Zeropoints | Mag plots
| Spatial mag deviation
| Spatial sky 16325A emission deviations (filled: sky, open: star)
| Spatial sky continuum emission
| Spatial sky telluric CO2 absorption deviations (filled: H < 10)
|
3090056
| 47
| | Red | Green | Blue
| z | | 18.99
| znorm | | 14.81
| sky | 14.7 | 14.3 | 14.2
| S/N | 15.0 | 24.8 | 24.6
| S/N(c) | 15.7 | 19.4 | 14.7
| SN(E/C) | 0.96
|
|
|
|
|
|
|
3090057
| 47
| | Red | Green | Blue
| z | | 18.93
| znorm | | 14.75
| sky | 15.1 | 14.7 | 14.6
| S/N | 15.0 | 24.8 | 24.5
| S/N(c) | 15.1 | 18.9 | 14.3
| SN(E/C) | 0.95
|
|
|
|
|
|
|
3090058
| 47
| | Red | Green | Blue
| z | | 19.02
| znorm | | 14.84
| sky | 15.1 | 14.8 | 14.6
| S/N | 15.2 | 25.4 | 25.6
| S/N(c) | 15.8 | 19.6 | 14.9
| SN(E/C) | 0.96
|
|
|
|
|
|
|
3090059
| 47
| | Red | Green | Blue
| z | | 18.87
| znorm | | 14.69
| sky | 15.1 | 14.7 | 14.8
| S/N | 13.8 | 23.7 | 23.8
| S/N(c) | 14.5 | 18.1 | 13.7
| SN(E/C) | 0.94
|
|
|
|
|
|
|
3090060
| 47
| | Red | Green | Blue
| z | | 18.73
| znorm | | 14.55
| sky | 15.1 | 14.9 | 14.8
| S/N | 12.5 | 21.5 | 22.0
| S/N(c) | 13.2 | 16.9 | 12.8
| SN(E/C) | 1.00
|
|
|
|
|
|
|
3090061
| 47
| | Red | Green | Blue
| z | | 18.58
| znorm | | 14.40
| sky | 15.0 | 14.8 | 14.8
| S/N | 11.3 | 20.1 | 20.6
| S/N(c) | 12.2 | 15.8 | 11.9
| SN(E/C) | 0.96
|
|
|
|
|
|
|
3090062
| 47
| | Red | Green | Blue
| z | | 18.72
| znorm | | 14.54
| sky | 15.1 | 15.0 | 14.8
| S/N | 12.4 | 21.3 | 22.0
| S/N(c) | 13.3 | 16.9 | 12.8
| SN(E/C) | 1.00
|
|
|
|
|
|
|
3090063
| 47
| | Red | Green | Blue
| z | | 18.91
| znorm | | 14.73
| sky | 15.1 | 14.8 | 14.8
| S/N | 14.5 | 24.2 | 25.0
| S/N(c) | 14.8 | 18.6 | 14.2
| SN(E/C) | 0.99
|
|
|
|
|
|
|