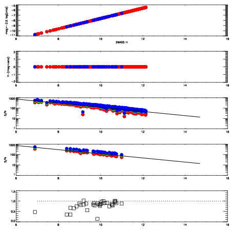
Left plots: red are targets, blue are telluric. Observed mags are calculated from median value of green chip. Zeropoint gives overall throughput: bigger number is more throughput.
First spatial plots: circles are objects, squares are tellurics, crosses are sky fibers. Colors give deviation of observed mag from expected 2MASS mag using the median zeropoint; red is brighter
Second spatial plots: circles are sky fibers. Colors give sky line brightness relative to plate median sky line brightness
FrameNreadsZeropointsMag plots Spatial mag deviation Spatial sky 16325A emission deviations (filled: sky, open: star) Spatial sky continuum emission Spatial sky telluric CO2 absorption deviations (filled: H < 10)
0 0
RedGreenBlue
z17.64
znorm Inf
sky -Inf -Inf -Inf
S/N 28.5 49.0 53.0
S/N(c) 0.0 0.0 0.0
SN(E/C) 0.83

IPAIRNAMESHIFTNEWSHIFTS/N NAMESHIFTNEWSHIFTS/N
0 06730076 0.488517 0.00000 19.2218 06730077 -0.000880046 0.489397 19.2289
1 06730075 0.486217 0.00229999 19.2332 06730074 0.00169969 0.486817 19.2290
2 06730072 0.488232 0.000285000 19.2100 06730073 0.00390685 0.484610 19.2150
3 06730071 0.483498 0.00501898 19.1964 06730070 0.00000 0.488517 19.2005