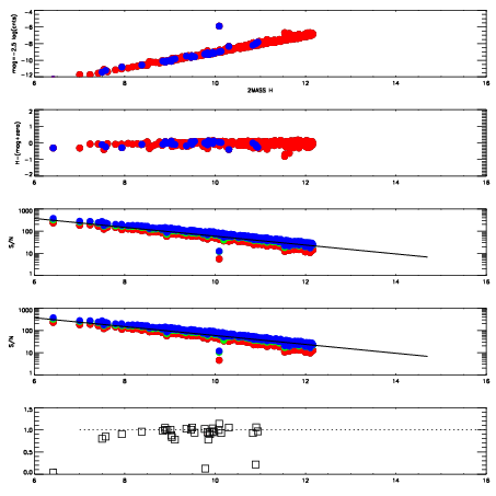
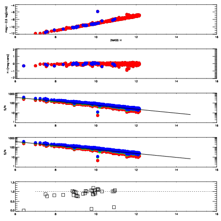
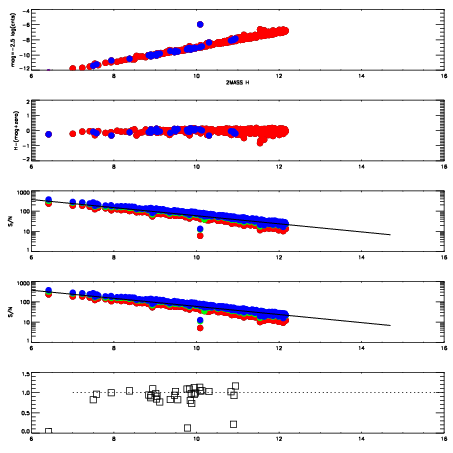
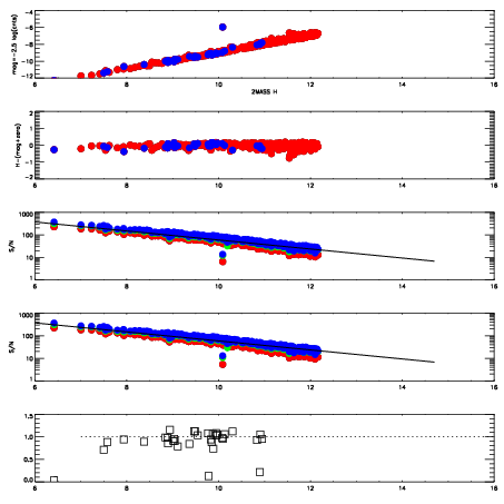
Frame | Nreads | Zeropoints | Mag plots
| Spatial mag deviation
| Spatial sky 16325A emission deviations (filled: sky, open: star)
| Spatial sky continuum emission
| Spatial sky telluric CO2 absorption deviations (filled: H < 10)
|
3980023
| 47
| | Red | Green | Blue
| z | | 18.95
| znorm | | 14.77
| sky | 14.4 | 14.1 | 14.1
| S/N | 14.1 | 23.1 | 24.6
| S/N(c) | 11.9 | 3.0 | 16.4
| SN(E/C) | 0.95
|
|
|
|
|
|
|
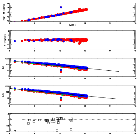
3980024
| 47
| | Red | Green | Blue
| z | | 18.91
| znorm | | 14.73
| sky | 14.6 | 14.3 | 14.4
| S/N | 13.8 | 22.7 | 24.0
| S/N(c) | 11.5 | 2.9 | 16.0
| SN(E/C) | 0.93
|
|
|
|
|
|
|
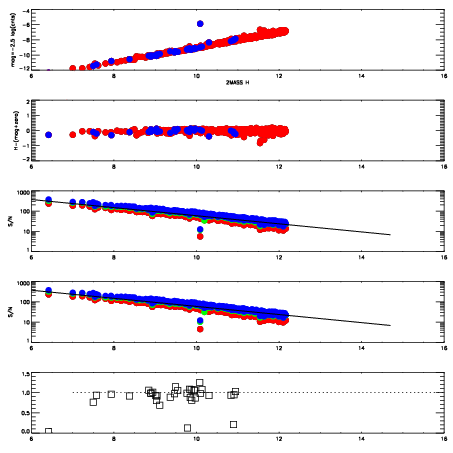
3980025
| 47
| | Red | Green | Blue
| z | | 18.99
| znorm | | 14.81
| sky | 14.5 | 14.3 | 14.4
| S/N | 13.9 | 23.5 | 25.0
| S/N(c) | 12.1 | 3.0 | 16.6
| SN(E/C) | 0.96
|
|
|
|
|
|
|
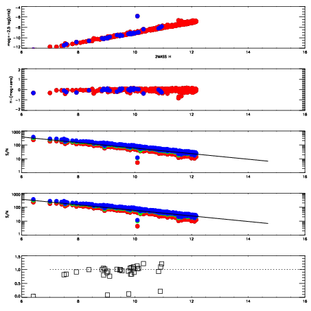
3980026
| 47
| | Red | Green | Blue
| z | | 19.05
| znorm | | 14.87
| sky | 14.5 | 14.4 | 14.5
| S/N | 14.8 | 24.7 | 26.1
| S/N(c) | 12.4 | 3.1 | 17.2
| SN(E/C) | 0.94
|
|
|
|
|
|
|
3980027
| 47
| | Red | Green | Blue
| z | | 19.03
| znorm | | 14.85
| sky | 14.6 | 14.4 | 14.4
| S/N | 14.8 | 24.8 | 25.8
| S/N(c) | 12.4 | 3.1 | 17.0
| SN(E/C) | 0.96
|
|
|
|
|
|
|
3980028
| 47
| | Red | Green | Blue
| z | | 19.09
| znorm | | 14.91
| sky | 14.8 | 14.4 | 14.5
| S/N | 15.3 | 25.1 | 26.4
| S/N(c) | 12.6 | 3.2 | 17.6
| SN(E/C) | 0.96
|
|
|
|
|
|
|
3980029
| 47
| | Red | Green | Blue
| z | | 19.04
| znorm | | 14.86
| sky | 14.6 | 14.5 | 14.5
| S/N | 14.8 | 24.9 | 25.4
| S/N(c) | 12.2 | 3.1 | 17.0
| SN(E/C) | 0.96
|
|
|
|
|
|
|
3980030
| 47
| | Red | Green | Blue
| z | | 19.04
| znorm | | 14.86
| sky | 14.6 | 14.5 | 14.4
| S/N | 14.6 | 24.7 | 25.4
| S/N(c) | 12.3 | 3.1 | 17.1
| SN(E/C) | 0.99
|
|
|
|
|
|
|