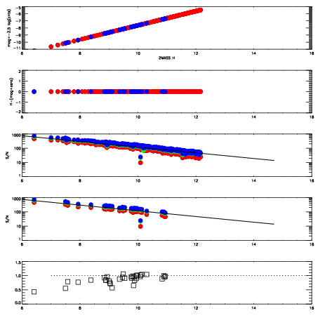
Left plots: red are targets, blue are telluric. Observed mags are calculated from median value of green chip. Zeropoint gives overall throughput: bigger number is more throughput.
First spatial plots: circles are objects, squares are tellurics, crosses are sky fibers. Colors give deviation of observed mag from expected 2MASS mag using the median zeropoint; red is brighter
Second spatial plots: circles are sky fibers. Colors give sky line brightness relative to plate median sky line brightness
FrameNreadsZeropointsMag plots Spatial mag deviation Spatial sky 16325A emission deviations (filled: sky, open: star) Spatial sky continuum emission Spatial sky telluric CO2 absorption deviations (filled: H < 10)
0 0
RedGreenBlue
z17.64
znorm Inf
sky -NaN -NaN -Inf
S/N 25.6 44.4 47.6
S/N(c) 0.0 0.0 0.0
SN(E/C) 0.91

IPAIRNAMESHIFTNEWSHIFTS/N NAMESHIFTNEWSHIFTS/N
0 03980025 0.497233 0.00000 18.9652 03980030 0.00126372 0.495969 19.0174
1 03980028 0.495278 0.00195500 19.0785 03980026 0.00189180 0.495341 19.0354
2 03980029 0.494706 0.00252700 19.0186 03980027 0.00139979 0.495833 19.0214
3 03980024 0.496254 0.000979006 18.8957 03980023 0.00000 0.497233 18.9319