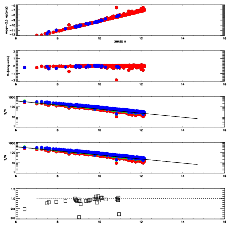
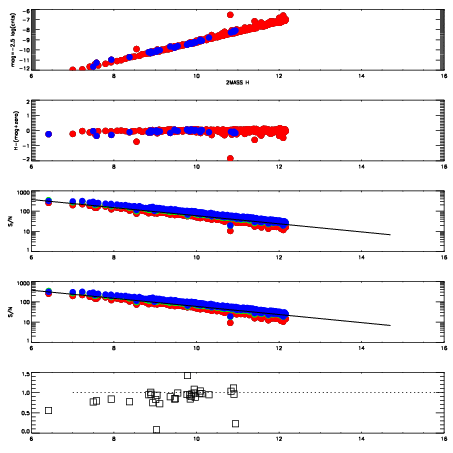
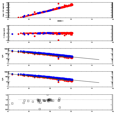
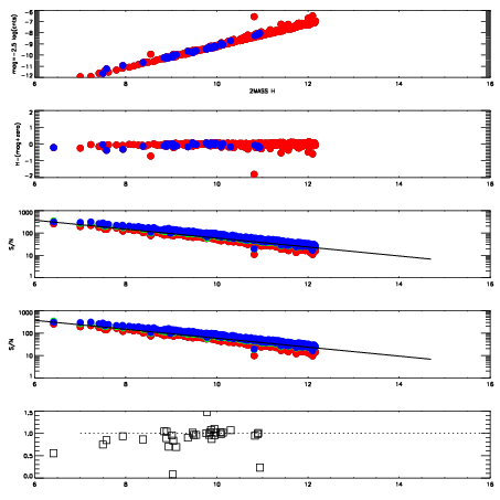
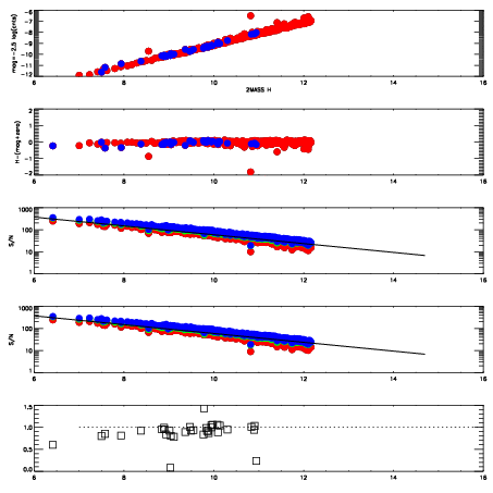
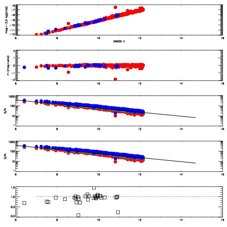
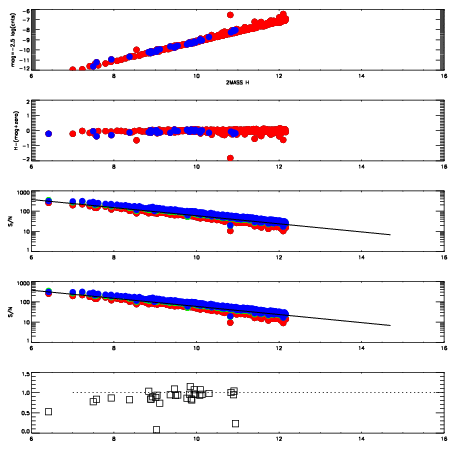
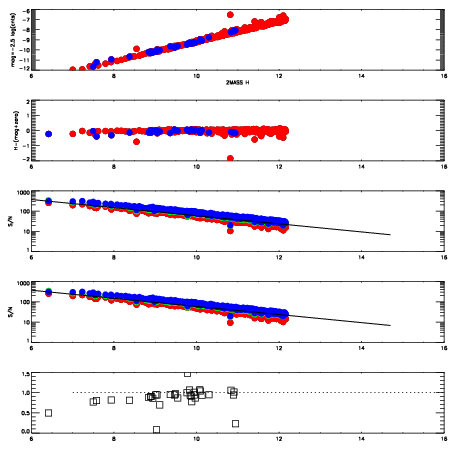
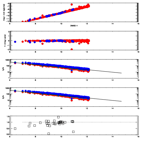
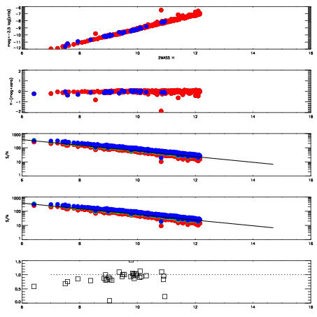
Frame | Nreads | Zeropoints | Mag plots
| Spatial mag deviation
| Spatial sky 16325A emission deviations (filled: sky, open: star)
| Spatial sky continuum emission
| Spatial sky telluric CO2 absorption deviations (filled: H < 10)
|
10230095
| 47
| | Red | Green | Blue
| z | | 19.18
| znorm | | 15.00
| sky | 14.6 | 14.3 | 14.1
| S/N | 16.5 | 26.5 | 27.7
| S/N(c) | 30.2 | 36.0 | 22.1
| SN(E/C) | 0.96
|
|
|
|
|
|
|
10230096
| 47
| | Red | Green | Blue
| z | | 19.17
| znorm | | 14.99
| sky | 14.6 | 14.5 | 14.4
| S/N | 16.6 | 26.1 | 27.5
| S/N(c) | 29.7 | 35.4 | 22.2
| SN(E/C) | 0.93
|
|
|
|
|
|
|
10230097
| 47
| | Red | Green | Blue
| z | | 19.20
| znorm | | 15.02
| sky | 14.7 | 14.5 | 14.4
| S/N | 16.7 | 26.7 | 28.4
| S/N(c) | 30.4 | 36.0 | 22.6
| SN(E/C) | 0.93
|
|
|
|
|
|
|
10230098
| 47
| | Red | Green | Blue
| z | | 19.19
| znorm | | 15.01
| sky | 14.5 | 14.5 | 14.5
| S/N | 16.5 | 27.1 | 28.5
| S/N(c) | 29.8 | 35.7 | 22.5
| SN(E/C) | 0.95
|
|
|
|
|
|
|
10230099
| 47
| | Red | Green | Blue
| z | | 19.18
| znorm | | 15.00
| sky | 14.7 | 14.5 | 14.5
| S/N | 16.5 | 26.5 | 28.2
| S/N(c) | 29.9 | 35.7 | 22.4
| SN(E/C) | 0.93
|
|
|
|
|
|
|
10230100
| 47
| | Red | Green | Blue
| z | | 19.19
| znorm | | 15.01
| sky | 14.6 | 14.5 | 14.4
| S/N | 16.6 | 27.0 | 28.5
| S/N(c) | 30.3 | 35.8 | 22.6
| SN(E/C) | 0.94
|
|
|
|
|
|
|
10230101
| 47
| | Red | Green | Blue
| z | | 19.15
| znorm | | 14.97
| sky | 14.5 | 14.5 | 14.4
| S/N | 16.2 | 26.2 | 27.8
| S/N(c) | 29.4 | 35.0 | 22.3
| SN(E/C) | 0.91
|
|
|
|
|
|
|
10230102
| 47
| | Red | Green | Blue
| z | | 19.16
| znorm | | 14.98
| sky | 14.7 | 14.5 | 14.3
| S/N | 16.4 | 26.6 | 28.2
| S/N(c) | 29.9 | 35.6 | 22.4
| SN(E/C) | 0.93
|
|
|
|
|
|
|
10230103
| 47
| | Red | Green | Blue
| z | | 19.12
| znorm | | 14.94
| sky | 14.7 | 14.5 | 14.3
| S/N | 16.0 | 25.8 | 27.5
| S/N(c) | 29.4 | 34.6 | 22.0
| SN(E/C) | 0.92
|
|
|
|
|
|
|
10230104
| 47
| | Red | Green | Blue
| z | | 19.14
| znorm | | 14.96
| sky | 14.7 | 14.6 | 14.3
| S/N | 16.4 | 26.4 | 27.8
| S/N(c) | 29.6 | 34.9 | 22.0
| SN(E/C) | 0.96
|
|
|
|
|
|
|