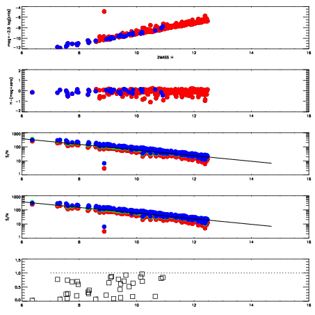
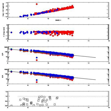
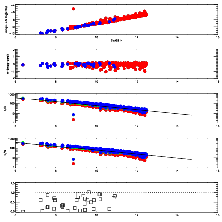
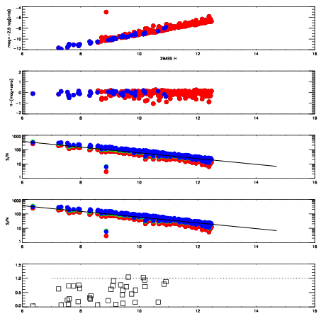
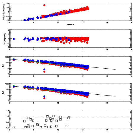
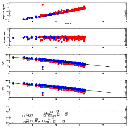
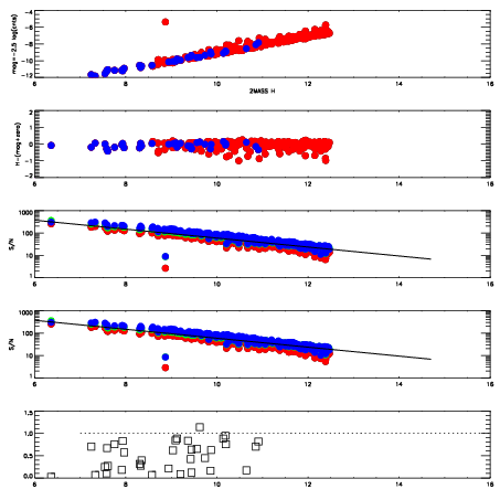
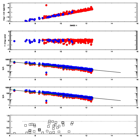
Frame | Nreads | Zeropoints | Mag plots
| Spatial mag deviation
| Spatial sky 16325A emission deviations (filled: sky, open: star)
| Spatial sky continuum emission
| Spatial sky telluric CO2 absorption deviations (filled: H < 10)
|
2850023
| 47
| | Red | Green | Blue
| z | | 19.10
| znorm | | 14.92
| sky | 14.4 | 14.3 | 14.2
| S/N | 15.8 | 23.4 | 23.6
| S/N(c) | 33.1 | 18.3 | 14.2
| SN(E/C) | 0.57
|
|
|
|
|
|
|
2850024
| 47
| | Red | Green | Blue
| z | | 19.11
| znorm | | 14.93
| sky | 14.6 | 14.4 | 14.6
| S/N | 15.8 | 23.5 | 24.1
| S/N(c) | 32.9 | 18.4 | 14.5
| SN(E/C) | 0.59
|
|
|
|
|
|
|
2850025
| 47
| | Red | Green | Blue
| z | | 19.09
| znorm | | 14.91
| sky | 14.4 | 14.4 | 14.6
| S/N | 15.5 | 23.4 | 23.8
| S/N(c) | 32.6 | 18.2 | 14.5
| SN(E/C) | 0.57
|
|
|
|
|
|
|
2850026
| 47
| | Red | Green | Blue
| z | | 19.13
| znorm | | 14.95
| sky | 14.6 | 14.5 | 14.6
| S/N | 15.6 | 23.6 | 24.8
| S/N(c) | 33.2 | 18.5 | 14.9
| SN(E/C) | 0.55
|
|
|
|
|
|
|
2850027
| 47
| | Red | Green | Blue
| z | | 19.07
| znorm | | 14.89
| sky | 14.5 | 14.5 | 14.5
| S/N | 15.3 | 23.4 | 24.3
| S/N(c) | 32.2 | 17.9 | 14.6
| SN(E/C) | 0.58
|
|
|
|
|
|
|
2850028
| 47
| | Red | Green | Blue
| z | | 19.07
| znorm | | 14.89
| sky | 14.8 | 14.6 | 14.6
| S/N | 15.1 | 23.2 | 24.4
| S/N(c) | 32.3 | 17.9 | 14.7
| SN(E/C) | 0.58
|
|
|
|
|
|
|
2850029
| 47
| | Red | Green | Blue
| z | | 19.10
| znorm | | 14.92
| sky | 14.7 | 14.6 | 14.7
| S/N | 15.3 | 23.6 | 24.9
| S/N(c) | 32.5 | 18.0 | 15.0
| SN(E/C) | 0.60
|
|
|
|
|
|
|
2850030
| 47
| | Red | Green | Blue
| z | | 19.08
| znorm | | 14.90
| sky | 14.6 | 14.6 | 14.6
| S/N | 15.4 | 23.4 | 24.2
| S/N(c) | 32.1 | 18.0 | 14.9
| SN(E/C) | 0.61
|
|
|
|
|
|
|