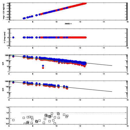
Left plots: red are targets, blue are telluric. Observed mags are calculated from median value of green chip. Zeropoint gives overall throughput: bigger number is more throughput.
First spatial plots: circles are objects, squares are tellurics, crosses are sky fibers. Colors give deviation of observed mag from expected 2MASS mag using the median zeropoint; red is brighter
Second spatial plots: circles are sky fibers. Colors give sky line brightness relative to plate median sky line brightness
FrameNreadsZeropointsMag plots Spatial mag deviation Spatial sky 16325A emission deviations (filled: sky, open: star) Spatial sky continuum emission Spatial sky telluric CO2 absorption deviations (filled: H < 10)
0 0
RedGreenBlue
z17.64
znorm Inf
sky -Inf -NaN -NaN
S/N 26.8 42.9 43.9
S/N(c) 0.0 0.0 0.0
SN(E/C) 0.56

IPAIRNAMESHIFTNEWSHIFTS/N NAMESHIFTNEWSHIFTS/N
0 02850029 0.414041 0.00000 19.0614 02850030 0.000105796 0.413935 19.0472
1 02850024 0.409438 0.00460300 19.0939 02850026 -0.000514914 0.414556 19.1075
2 02850025 0.410515 0.00352600 19.0704 02850023 0.00000 0.414041 19.0822
3 02850028 0.412646 0.00139502 19.0398 02850027 -0.00159091 0.415632 19.0426