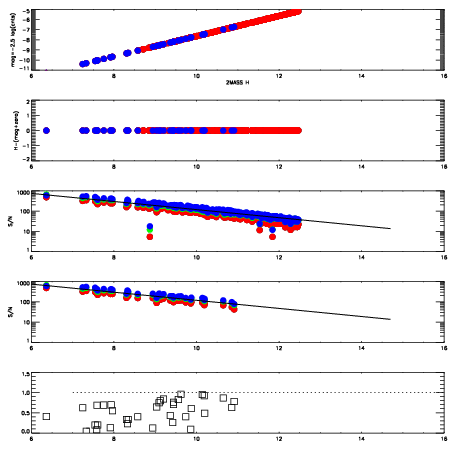
Left plots: red are targets, blue are telluric. Observed mags are calculated from median value of green chip. Zeropoint gives overall throughput: bigger number is more throughput.
First spatial plots: circles are objects, squares are tellurics, crosses are sky fibers. Colors give deviation of observed mag from expected 2MASS mag using the median zeropoint; red is brighter
Second spatial plots: circles are sky fibers. Colors give sky line brightness relative to plate median sky line brightness
FrameNreadsZeropointsMag plots Spatial mag deviation Spatial sky 16325A emission deviations (filled: sky, open: star) Spatial sky continuum emission Spatial sky telluric CO2 absorption deviations (filled: H < 10)
0 0
RedGreenBlue
z17.64
znorm Inf
sky -Inf -Inf -Inf
S/N 24.3 41.4 42.9
S/N(c) 0.0 0.0 0.0
SN(E/C) 0.61

IPAIRNAMESHIFTNEWSHIFTS/N NAMESHIFTNEWSHIFTS/N
0 02890077 0.399337 0.00000 18.7860 02890078 0.00170828 0.397629 18.9152
1 02890072 0.394047 0.00529000 18.9835 02890075 -0.00186195 0.401199 18.9978
2 02890073 0.395523 0.00381398 18.9795 02890071 0.00000 0.399337 18.9921
3 02890076 0.397823 0.00151399 18.9338 02890074 0.00140031 0.397937 18.9791