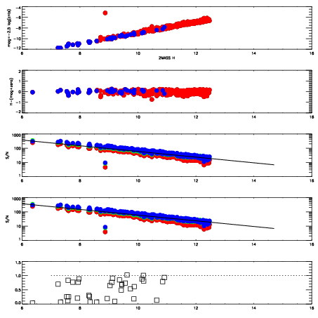
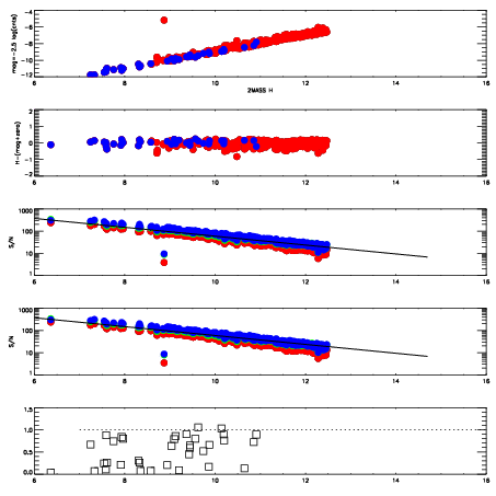
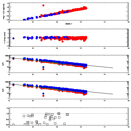
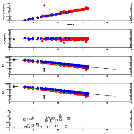
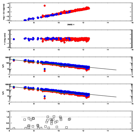
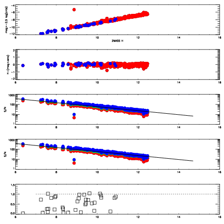
Frame | Nreads | Zeropoints | Mag plots
| Spatial mag deviation
| Spatial sky 16325A emission deviations (filled: sky, open: star)
| Spatial sky continuum emission
| Spatial sky telluric CO2 absorption deviations (filled: H < 10)
|
2920023
| 47
| | Red | Green | Blue
| z | | 19.01
| znorm | | 14.83
| sky | 14.8 | 14.5 | 14.5
| S/N | 15.1 | 23.7 | 23.7
| S/N(c) | 27.7 | 39.9 | 17.0
| SN(E/C) | 0.60
|
|
|
|
|
|
|
2920024
| 47
| | Red | Green | Blue
| z | | 18.94
| znorm | | 14.76
| sky | 14.7 | 14.7 | 14.8
| S/N | 14.2 | 22.6 | 22.3
| S/N(c) | 26.6 | 38.8 | 16.7
| SN(E/C) | 0.65
|
|
|
|
|
|
|
2920025
| 47
| | Red | Green | Blue
| z | | 18.97
| znorm | | 14.79
| sky | 14.7 | 14.8 | 14.7
| S/N | 14.8 | 22.9 | 23.0
| S/N(c) | 26.7 | 39.2 | 16.9
| SN(E/C) | 0.60
|
|
|
|
|
|
|
2920026
| 47
| | Red | Green | Blue
| z | | 18.89
| znorm | | 14.71
| sky | 14.7 | 14.6 | 14.8
| S/N | 13.6 | 21.6 | 21.7
| S/N(c) | 25.2 | 37.1 | 16.2
| SN(E/C) | 0.61
|
|
|
|
|
|
|
2920027
| 47
| | Red | Green | Blue
| z | | 18.95
| znorm | | 14.77
| sky | 14.7 | 14.7 | 14.7
| S/N | 14.1 | 22.3 | 22.5
| S/N(c) | 26.2 | 38.0 | 16.7
| SN(E/C) | 0.64
|
|
|
|
|
|
|
2920028
| 47
| | Red | Green | Blue
| z | | 18.91
| znorm | | 14.73
| sky | 14.7 | 14.6 | 14.6
| S/N | 14.2 | 22.2 | 22.3
| S/N(c) | 26.0 | 37.6 | 16.5
| SN(E/C) | 0.57
|
|
|
|
|
|
|
2920029
| 47
| | Red | Green | Blue
| z | | 18.95
| znorm | | 14.77
| sky | 14.7 | 14.6 | 14.7
| S/N | 13.9 | 22.4 | 22.4
| S/N(c) | 26.2 | 37.8 | 16.6
| SN(E/C) | 0.67
|
|
|
|
|
|
|
2920030
| 47
| | Red | Green | Blue
| z | | 18.99
| znorm | | 14.81
| sky | 14.7 | 14.8 | 14.8
| S/N | 14.4 | 23.3 | 23.4
| S/N(c) | 26.6 | 38.6 | 17.1
| SN(E/C) | 0.64
|
|
|
|
|
|
|