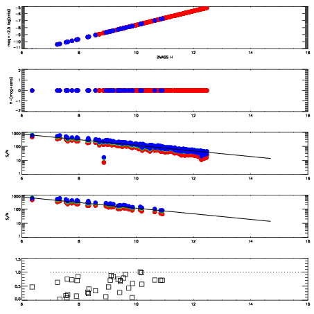
Left plots: red are targets, blue are telluric. Observed mags are calculated from median value of green chip. Zeropoint gives overall throughput: bigger number is more throughput.
First spatial plots: circles are objects, squares are tellurics, crosses are sky fibers. Colors give deviation of observed mag from expected 2MASS mag using the median zeropoint; red is brighter
Second spatial plots: circles are sky fibers. Colors give sky line brightness relative to plate median sky line brightness
FrameNreadsZeropointsMag plots Spatial mag deviation Spatial sky 16325A emission deviations (filled: sky, open: star) Spatial sky continuum emission Spatial sky telluric CO2 absorption deviations (filled: H < 10)
0 0
RedGreenBlue
z17.64
znorm Inf
sky -NaN -NaN -NaN
S/N 24.8 40.4 40.1
S/N(c) 0.0 0.0 0.0
SN(E/C) 0.64

IPAIRNAMESHIFTNEWSHIFTS/N NAMESHIFTNEWSHIFTS/N
0 02920025 0.403237 0.00000 18.9410 02920023 0.00000 0.403237 18.9955
1 02920024 0.401777 0.00145999 18.9173 02920030 0.00222717 0.401010 18.9545
2 02920029 0.402822 0.000414997 18.9146 02920027 -0.000783385 0.404020 18.9091
3 02920028 0.401448 0.00178897 18.8834 02920026 0.000415330 0.402822 18.8456