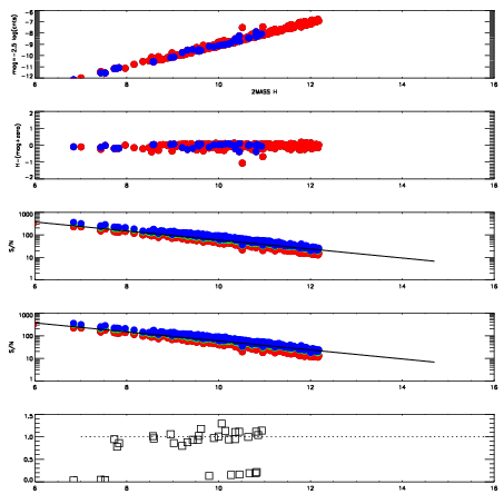
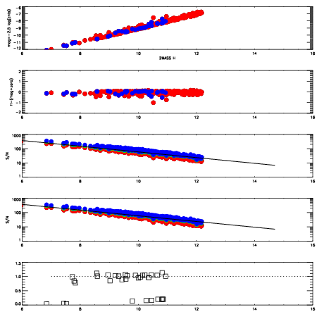
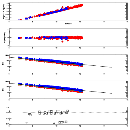
Frame | Nreads | Zeropoints | Mag plots
| Spatial mag deviation
| Spatial sky 16325A emission deviations (filled: sky, open: star)
| Spatial sky continuum emission
| Spatial sky telluric CO2 absorption deviations (filled: H < 10)
|
2920045
| 47
| | Red | Green | Blue
| z | | 18.98
| znorm | | 14.80
| sky | 14.8 | 14.5 | 14.3
| S/N | 13.6 | 21.3 | 21.9
| S/N(c) | 29.6 | 29.1 | 6.9
| SN(E/C) | 0.94
|
|
|
|
|
|
|
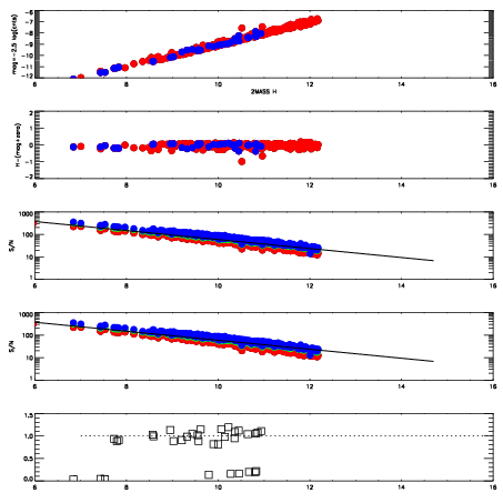
2920046
| 47
| | Red | Green | Blue
| z | | 19.06
| znorm | | 14.88
| sky | 14.7 | 14.6 | 14.7
| S/N | 14.2 | 23.1 | 24.6
| S/N(c) | 32.0 | 30.4 | 7.4
| SN(E/C) | 0.95
|
|
|
|
|
|
|
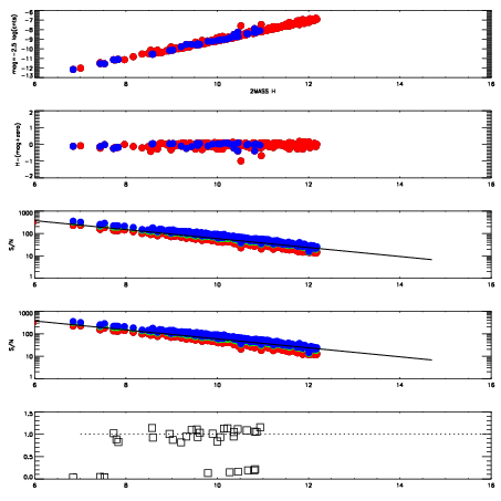
2920047
| 47
| | Red | Green | Blue
| z | | 19.04
| znorm | | 14.86
| sky | 14.8 | 14.6 | 14.6
| S/N | 14.3 | 23.6 | 24.8
| S/N(c) | 31.4 | 30.2 | 7.3
| SN(E/C) | 0.94
|
|
|
|
|
|
|
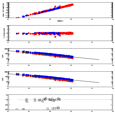
2920048
| 47
| | Red | Green | Blue
| z | | 19.07
| znorm | | 14.89
| sky | 14.7 | 14.6 | 14.6
| S/N | 14.4 | 24.2 | 25.4
| S/N(c) | 31.7 | 30.5 | 7.5
| SN(E/C) | 0.96
|
|
|
|
|
|
|
2920049
| 47
| | Red | Green | Blue
| z | | 19.07
| znorm | | 14.89
| sky | 14.7 | 14.7 | 14.5
| S/N | 14.7 | 24.3 | 25.3
| S/N(c) | 31.7 | 30.5 | 7.5
| SN(E/C) | 0.95
|
|
|
|
|
|
|
2920050
| 47
| | Red | Green | Blue
| z | | 19.09
| znorm | | 14.91
| sky | 14.6 | 14.5 | 14.5
| S/N | 14.8 | 24.5 | 25.4
| S/N(c) | 32.0 | 30.7 | 7.6
| SN(E/C) | 0.94
|
|
|
|
|
|
|
2920051
| 47
| | Red | Green | Blue
| z | | 19.10
| znorm | | 14.92
| sky | 14.6 | 14.5 | 14.5
| S/N | 14.9 | 24.8 | 25.7
| S/N(c) | 32.4 | 30.8 | 7.7
| SN(E/C) | 0.95
|
|
|
|
|
|
|
2920052
| 47
| | Red | Green | Blue
| z | | 19.08
| znorm | | 14.90
| sky | 14.4 | 14.5 | 14.2
| S/N | 14.7 | 24.3 | 24.9
| S/N(c) | 31.9 | 30.7 | 7.6
| SN(E/C) | 0.95
|
|
|
|
|
|
|