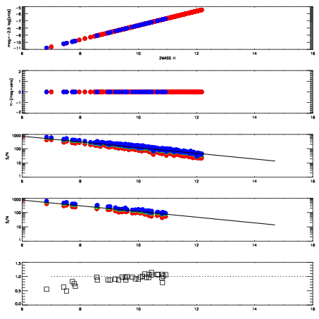
Left plots: red are targets, blue are telluric. Observed mags are calculated from median value of green chip. Zeropoint gives overall throughput: bigger number is more throughput.
First spatial plots: circles are objects, squares are tellurics, crosses are sky fibers. Colors give deviation of observed mag from expected 2MASS mag using the median zeropoint; red is brighter
Second spatial plots: circles are sky fibers. Colors give sky line brightness relative to plate median sky line brightness
FrameNreadsZeropointsMag plots Spatial mag deviation Spatial sky 16325A emission deviations (filled: sky, open: star) Spatial sky continuum emission Spatial sky telluric CO2 absorption deviations (filled: H < 10)
0 0
RedGreenBlue
z17.64
znorm Inf
sky -NaN -NaN -Inf
S/N 23.8 41.8 44.0
S/N(c) 0.0 0.0 0.0
SN(E/C) 0.96

IPAIRNAMESHIFTNEWSHIFTS/N NAMESHIFTNEWSHIFTS/N
0 02920047 0.398300 0.00000 19.0311 02920045 0.00000 0.398300 18.9692
1 02920051 0.396841 0.00145900 19.0874 02920052 -0.000411144 0.398711 19.0696
2 02920050 0.395725 0.00257498 19.0752 02920048 0.00168565 0.396614 19.0619
3 02920046 0.398063 0.000236988 19.0474 02920049 -0.000634481 0.398934 19.0532