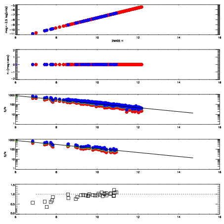
Left plots: red are targets, blue are telluric. Observed mags are calculated from median value of green chip. Zeropoint gives overall throughput: bigger number is more throughput.
First spatial plots: circles are objects, squares are tellurics, crosses are sky fibers. Colors give deviation of observed mag from expected 2MASS mag using the median zeropoint; red is brighter
Second spatial plots: circles are sky fibers. Colors give sky line brightness relative to plate median sky line brightness
FrameNreadsZeropointsMag plots Spatial mag deviation Spatial sky 16325A emission deviations (filled: sky, open: star) Spatial sky continuum emission Spatial sky telluric CO2 absorption deviations (filled: H < 10)
0 0
RedGreenBlue
z17.64
znorm Inf
sky -Inf -Inf -Inf
S/N 24.3 42.7 42.4
S/N(c) 0.0 0.0 0.0
SN(E/C) 0.94

IPAIRNAMESHIFTNEWSHIFTS/N NAMESHIFTNEWSHIFTS/N
0 03190051 0.497824 0.00000 19.0421 03190048 -0.000268705 0.498093 19.0274
1 03190050 0.495079 0.00274500 19.0429 03190049 -0.000666170 0.498490 19.0352
2 03190047 0.496483 0.00134102 18.9743 03190052 0.00207326 0.495751 19.0002
3 03190046 0.495946 0.00187802 18.8335 03190045 0.00000 0.497824 18.7757