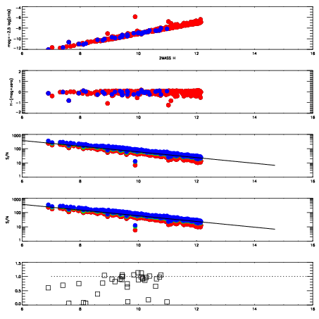
Frame | Nreads | Zeropoints | Mag plots
| Spatial mag deviation
| Spatial sky 16325A emission deviations (filled: sky, open: star)
| Spatial sky continuum emission
| Spatial sky telluric CO2 absorption deviations (filled: H < 10)
|
12720060
| 47
| | Red | Green | Blue
| z | | 19.05
| znorm | | 14.87
| sky | 14.3 | 14.1 | 14.2
| S/N | 14.8 | 22.5 | 24.6
| S/N(c) | 36.3 | 16.3 | 5.8
| SN(E/C) | 0.87
|
|
|
|
|
|
|
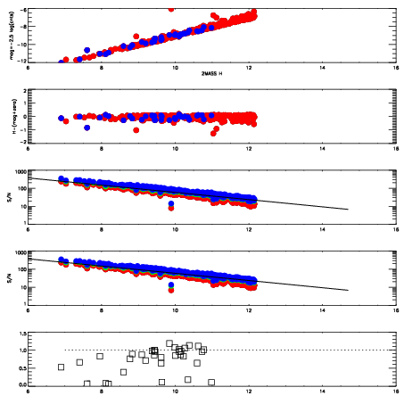
12720061
| 47
| | Red | Green | Blue
| z | | 19.07
| znorm | | 14.89
| sky | 14.3 | 14.3 | 14.4
| S/N | 14.5 | 23.2 | 25.2
| S/N(c) | 35.8 | 16.5 | 5.9
| SN(E/C) | 0.83
|
|
|
|
|
|
|
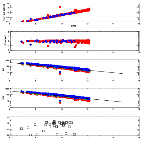
12720062
| 47
| | Red | Green | Blue
| z | | 19.10
| znorm | | 14.92
| sky | 14.1 | 14.2 | 14.3
| S/N | 14.8 | 23.4 | 25.6
| S/N(c) | 36.2 | 16.5 | 5.9
| SN(E/C) | 0.85
|
|
|
|
|
|
|
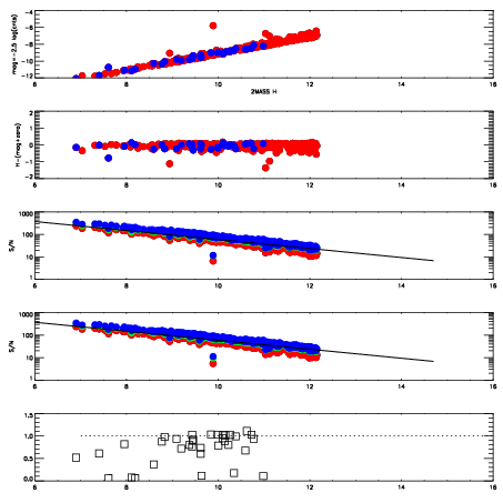
12720063
| 47
| | Red | Green | Blue
| z | | 19.13
| znorm | | 14.95
| sky | 14.3 | 14.3 | 14.4
| S/N | 14.8 | 23.6 | 25.7
| S/N(c) | 36.5 | 16.8 | 6.0
| SN(E/C) | 0.81
|
|
|
|
|
|
|
12720064
| 47
| | Red | Green | Blue
| z | | 19.13
| znorm | | 14.95
| sky | 14.5 | 14.4 | 14.4
| S/N | 15.2 | 23.9 | 26.0
| S/N(c) | 37.1 | 16.8 | 6.1
| SN(E/C) | 0.80
|
|
|
|
|
|
|
12720065
| 47
| | Red | Green | Blue
| z | | 19.10
| znorm | | 14.92
| sky | 14.3 | 14.3 | 14.5
| S/N | 15.0 | 23.4 | 25.6
| S/N(c) | 36.5 | 16.6 | 6.0
| SN(E/C) | 0.88
|
|
|
|
|
|
|
12720066
| 47
| | Red | Green | Blue
| z | | 19.06
| znorm | | 14.88
| sky | 14.3 | 14.4 | 14.5
| S/N | 14.7 | 22.9 | 24.7
| S/N(c) | 35.7 | 16.2 | 5.9
| SN(E/C) | 0.86
|
|
|
|
|
|
|
12720067
| 47
| | Red | Green | Blue
| z | | 19.05
| znorm | | 14.87
| sky | 14.3 | 14.3 | 14.4
| S/N | 14.3 | 23.1 | 24.9
| S/N(c) | 34.9 | 16.1 | 5.9
| SN(E/C) | 0.89
|
|
|
|
|
|
|