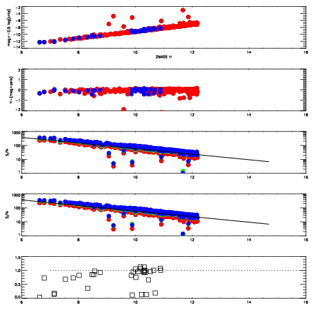
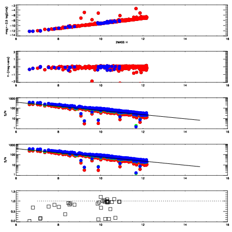
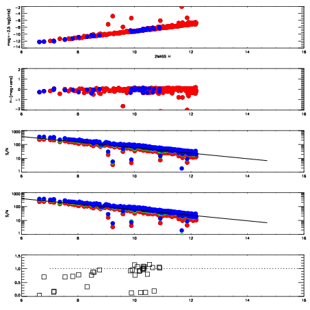
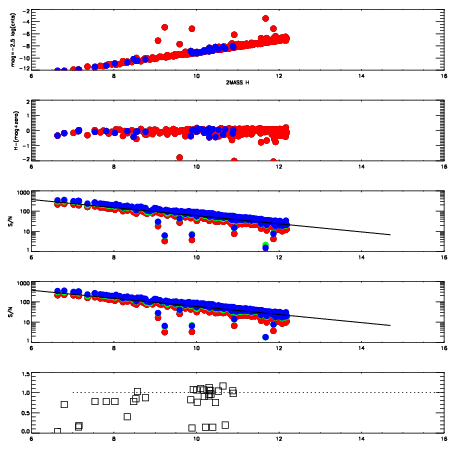
Frame | Nreads | Zeropoints | Mag plots
| Spatial mag deviation
| Spatial sky 16325A emission deviations (filled: sky, open: star)
| Spatial sky continuum emission
| Spatial sky telluric CO2 absorption deviations (filled: H < 10)
|
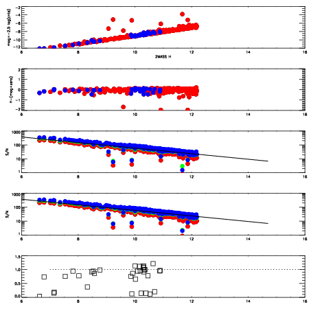
10160028
| 47
| | Red | Green | Blue
| z | | 19.12
| znorm | | 14.94
| sky | 14.4 | 14.1 | 14.2
| S/N | 15.1 | 23.6 | 25.2
| S/N(c) | 22.6 | 4.4 | 27.5
| SN(E/C) | 0.91
|
|
|
|
|
|
|
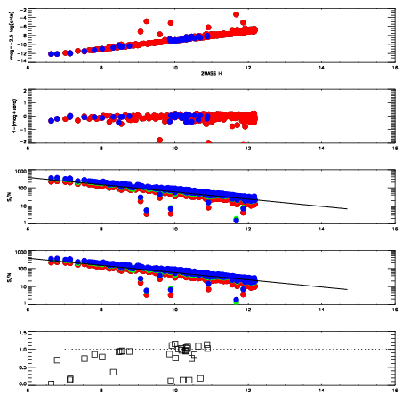
10160029
| 47
| | Red | Green | Blue
| z | | 19.17
| znorm | | 14.99
| sky | 14.3 | 14.2 | 14.3
| S/N | 15.4 | 24.4 | 25.8
| S/N(c) | 22.9 | 4.4 | 27.9
| SN(E/C) | 0.87
|
|
|
|
|
|
|
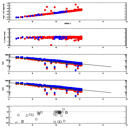
10160030
| 47
| | Red | Green | Blue
| z | | 19.19
| znorm | | 15.01
| sky | 14.6 | 14.2 | 14.2
| S/N | 15.7 | 25.0 | 26.5
| S/N(c) | 23.2 | 4.5 | 28.5
| SN(E/C) | 0.92
|
|
|
|
|
|
|
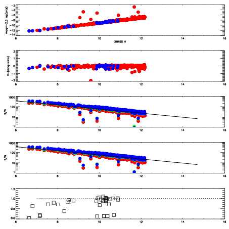
10160031
| 47
| | Red | Green | Blue
| z | | 19.17
| znorm | | 14.99
| sky | 14.6 | 14.2 | 14.1
| S/N | 15.6 | 24.8 | 26.3
| S/N(c) | 22.8 | 4.4 | 28.0
| SN(E/C) | 0.88
|
|
|
|
|
|
|
10160032
| 47
| | Red | Green | Blue
| z | | 19.17
| znorm | | 14.99
| sky | 14.2 | 14.2 | 14.2
| S/N | 15.3 | 24.8 | 26.4
| S/N(c) | 22.7 | 4.4 | 28.0
| SN(E/C) | 0.88
|
|
|
|
|
|
|
10160033
| 47
| | Red | Green | Blue
| z | | 19.12
| znorm | | 14.94
| sky | 14.4 | 14.3 | 14.2
| S/N | 14.9 | 24.3 | 25.1
| S/N(c) | 22.3 | 4.3 | 27.5
| SN(E/C) | 0.94
|
|
|
|
|
|
|
10160034
| 47
| | Red | Green | Blue
| z | | 19.08
| znorm | | 14.90
| sky | 14.6 | 14.3 | 14.2
| S/N | 14.5 | 23.8 | 25.2
| S/N(c) | 21.4 | 4.2 | 27.2
| SN(E/C) | 0.87
|
|
|
|
|
|
|
10160035
| 47
| | Red | Green | Blue
| z | | 19.04
| znorm | | 14.86
| sky | 14.5 | 14.4 | 14.2
| S/N | 14.2 | 23.3 | 24.5
| S/N(c) | 21.0 | 4.1 | 26.3
| SN(E/C) | 0.91
|
|
|
|
|
|
|