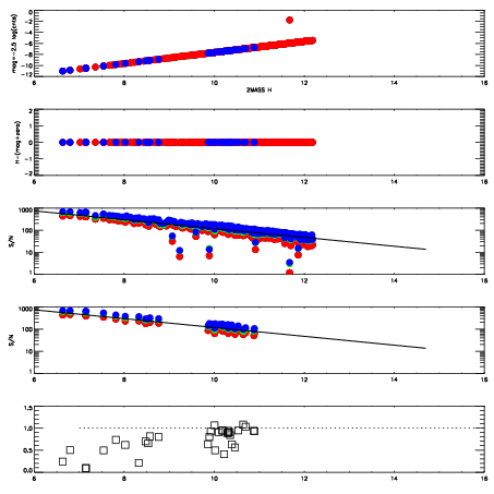
Left plots: red are targets, blue are telluric. Observed mags are calculated from median value of green chip. Zeropoint gives overall throughput: bigger number is more throughput.
First spatial plots: circles are objects, squares are tellurics, crosses are sky fibers. Colors give deviation of observed mag from expected 2MASS mag using the median zeropoint; red is brighter
Second spatial plots: circles are sky fibers. Colors give sky line brightness relative to plate median sky line brightness
FrameNreadsZeropointsMag plots Spatial mag deviation Spatial sky 16325A emission deviations (filled: sky, open: star) Spatial sky continuum emission Spatial sky telluric CO2 absorption deviations (filled: H < 10)
0 0
RedGreenBlue
z17.64
znorm Inf
sky -NaN -NaN -Inf
S/N 26.9 44.6 49.2
S/N(c) 0.0 0.0 0.0
SN(E/C) 0.81

IPAIRNAMESHIFTNEWSHIFTS/N NAMESHIFTNEWSHIFTS/N
0 10160030 0.504867 0.00000 19.1828 10160031 0.00426945 0.500598 19.1614
1 10160029 0.503694 0.00117302 19.1614 10160032 0.00380302 0.501064 19.1608
2 10160033 0.503460 0.00140703 19.1012 10160028 0.00000 0.504867 19.1178
3 10160034 0.504002 0.000865042 19.0570 10160035 0.00502933 0.499838 19.0242