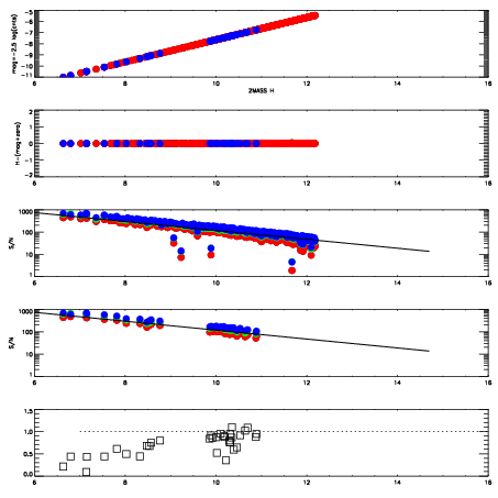
Left plots: red are targets, blue are telluric. Observed mags are calculated from median value of green chip. Zeropoint gives overall throughput: bigger number is more throughput.
First spatial plots: circles are objects, squares are tellurics, crosses are sky fibers. Colors give deviation of observed mag from expected 2MASS mag using the median zeropoint; red is brighter
Second spatial plots: circles are sky fibers. Colors give sky line brightness relative to plate median sky line brightness
FrameNreadsZeropointsMag plots Spatial mag deviation Spatial sky 16325A emission deviations (filled: sky, open: star) Spatial sky continuum emission Spatial sky telluric CO2 absorption deviations (filled: H < 10)
0 0
RedGreenBlue
z17.64
znorm Inf
sky -Inf -Inf -Inf
S/N 28.4 45.3 50.4
S/N(c) 0.0 0.0 0.0
SN(E/C) 0.80

IPAIRNAMESHIFTNEWSHIFTS/N NAMESHIFTNEWSHIFTS/N
0 10210031 0.493990 0.00000 19.1924 10210026 0.00000 0.493990 19.1887
1 10210032 0.493525 0.000465006 19.1747 10210030 0.000862829 0.493127 19.1827
2 10210028 0.493511 0.000479013 19.1545 10210033 -8.61292e-05 0.494076 19.1609
3 10210027 0.493538 0.000452012 19.1536 10210029 0.00104206 0.492948 19.1562