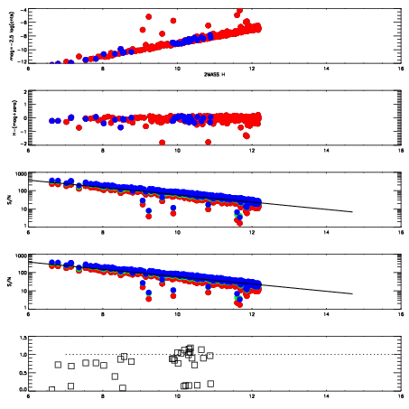
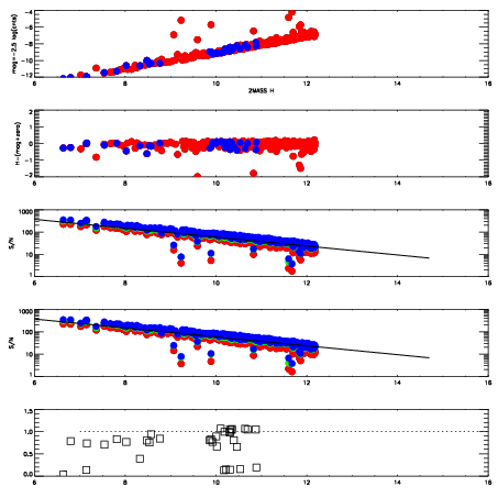
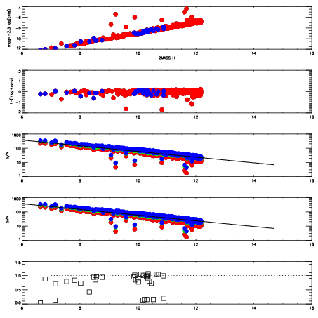
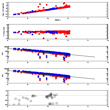
Frame | Nreads | Zeropoints | Mag plots
| Spatial mag deviation
| Spatial sky 16325A emission deviations (filled: sky, open: star)
| Spatial sky continuum emission
| Spatial sky telluric CO2 absorption deviations (filled: H < 10)
|
10430011
| 47
| | Red | Green | Blue
| z | | 19.07
| znorm | | 14.89
| sky | 14.5 | 14.2 | 13.9
| S/N | 15.1 | 24.7 | 24.7
| S/N(c) | 28.1 | 21.0 | 4.5
| SN(E/C) | 0.85
|
|
|
|
|
|
|
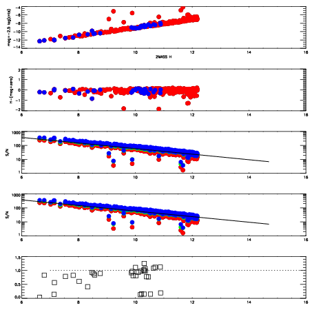
10430012
| 47
| | Red | Green | Blue
| z | | 19.09
| znorm | | 14.91
| sky | 14.6 | 14.3 | 14.1
| S/N | 15.3 | 25.0 | 25.8
| S/N(c) | 27.6 | 20.7 | 4.6
| SN(E/C) | 0.80
|
|
|
|
|
|
|
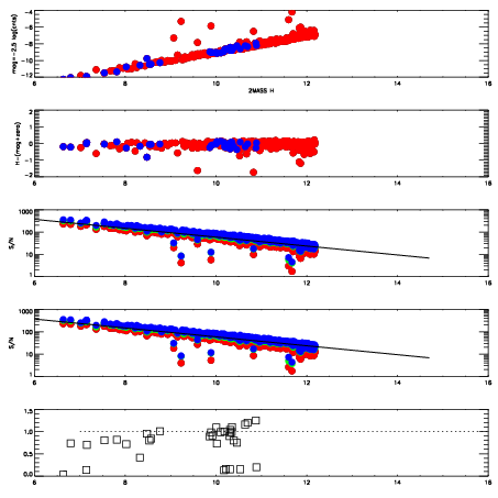
10430013
| 47
| | Red | Green | Blue
| z | | 19.00
| znorm | | 14.81
| sky | 14.4 | 14.3 | 14.2
| S/N | 14.4 | 23.5 | 24.2
| S/N(c) | 26.4 | 19.6 | 4.5
| SN(E/C) | 0.87
|
|
|
|
|
|
|
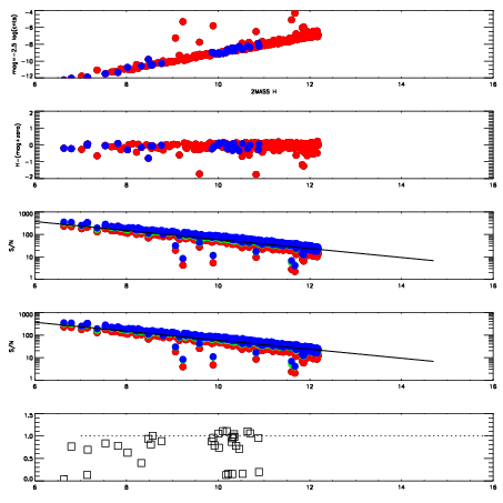
10430014
| 47
| | Red | Green | Blue
| z | | 19.07
| znorm | | 14.89
| sky | 14.5 | 14.4 | 14.2
| S/N | 14.8 | 24.6 | 25.5
| S/N(c) | 27.3 | 20.4 | 4.6
| SN(E/C) | 0.84
|
|
|
|
|
|
|
10430015
| 47
| | Red | Green | Blue
| z | | 19.13
| znorm | | 14.95
| sky | 14.6 | 14.3 | 14.3
| S/N | 15.8 | 25.3 | 26.4
| S/N(c) | 28.6 | 21.6 | 4.8
| SN(E/C) | 0.84
|
|
|
|
|
|
|
10430016
| 47
| | Red | Green | Blue
| z | | 19.13
| znorm | | 14.95
| sky | 14.8 | 14.4 | 14.3
| S/N | 16.2 | 25.3 | 26.9
| S/N(c) | 28.1 | 21.2 | 4.8
| SN(E/C) | 0.84
|
|
|
|
|
|
|
10430017
| 47
| | Red | Green | Blue
| z | | 19.07
| znorm | | 14.89
| sky | 14.9 | 14.5 | 14.3
| S/N | 15.0 | 24.3 | 25.6
| S/N(c) | 27.0 | 20.7 | 4.6
| SN(E/C) | 0.83
|
|
|
|
|
|
|
10430018
| 47
| | Red | Green | Blue
| z | | 19.06
| znorm | | 14.88
| sky | 14.7 | 14.4 | 14.4
| S/N | 15.3 | 24.1 | 25.8
| S/N(c) | 26.7 | 20.4 | 4.6
| SN(E/C) | 0.84
|
|
|
|
|
|
|