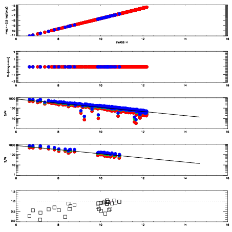
Left plots: red are targets, blue are telluric. Observed mags are calculated from median value of green chip. Zeropoint gives overall throughput: bigger number is more throughput.
First spatial plots: circles are objects, squares are tellurics, crosses are sky fibers. Colors give deviation of observed mag from expected 2MASS mag using the median zeropoint; red is brighter
Second spatial plots: circles are sky fibers. Colors give sky line brightness relative to plate median sky line brightness
FrameNreadsZeropointsMag plots Spatial mag deviation Spatial sky 16325A emission deviations (filled: sky, open: star) Spatial sky continuum emission Spatial sky telluric CO2 absorption deviations (filled: H < 10)
0 0
RedGreenBlue
z17.64
znorm Inf
sky -NaN -NaN -Inf
S/N 26.1 43.8 48.5
S/N(c) 0.0 0.0 0.0
SN(E/C) 0.87

IPAIRNAMESHIFTNEWSHIFTS/N NAMESHIFTNEWSHIFTS/N
0 10430013 0.510741 0.00000 18.9779 10430018 0.0126882 0.498053 19.0338
1 10430016 0.508623 0.00211799 19.1064 10430015 0.00122699 0.509514 19.1143
2 10430012 0.510587 0.000154018 19.0499 10430014 0.00153978 0.509201 19.0553
3 10430017 0.508769 0.00197202 19.0426 10430011 0.00000 0.510741 19.0483