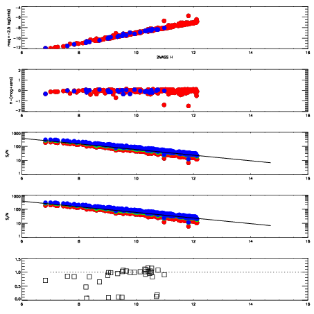
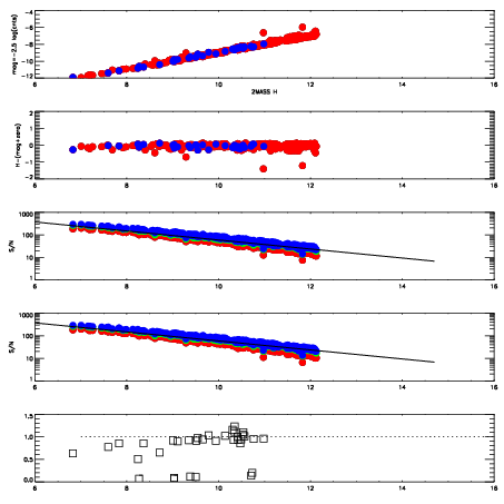
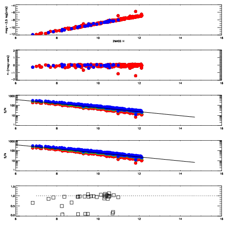
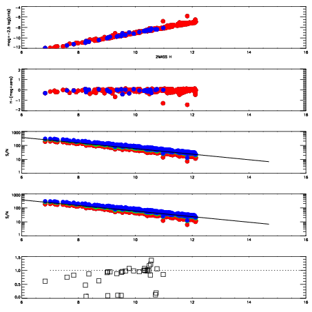
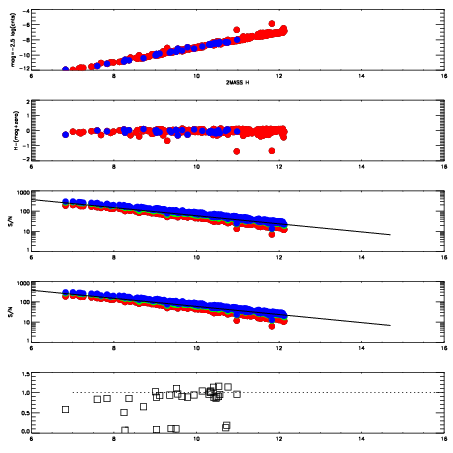
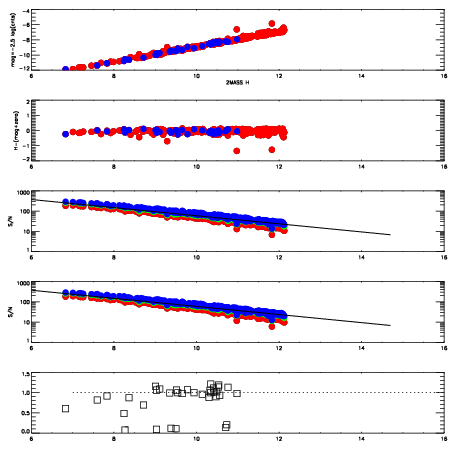
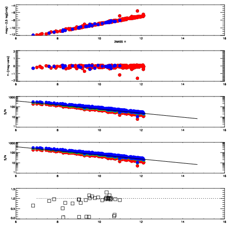
Frame | Nreads | Zeropoints | Mag plots
| Spatial mag deviation
| Spatial sky 16325A emission deviations (filled: sky, open: star)
| Spatial sky continuum emission
| Spatial sky telluric CO2 absorption deviations (filled: H < 10)
|
3120025
| 47
| | Red | Green | Blue
| z | | 18.95
| znorm | | 14.77
| sky | 14.8 | 14.3 | 14.2
| S/N | 15.5 | 24.2 | 26.7
| S/N(c) | 15.9 | 21.6 | 15.9
| SN(E/C) | 0.98
|
|
|
|
|
|
|
3120026
| 47
| | Red | Green | Blue
| z | | 19.00
| znorm | | 14.82
| sky | 14.8 | 14.4 | 14.7
| S/N | 16.0 | 24.8 | 27.7
| S/N(c) | 16.3 | 22.2 | 16.4
| SN(E/C) | 0.92
|
|
|
|
|
|
|
3120027
| 47
| | Red | Green | Blue
| z | | 19.04
| znorm | | 14.86
| sky | 14.8 | 14.4 | 14.6
| S/N | 16.4 | 25.3 | 28.2
| S/N(c) | 16.7 | 22.5 | 16.6
| SN(E/C) | 0.90
|
|
|
|
|
|
|
3120028
| 47
| | Red | Green | Blue
| z | | 19.06
| znorm | | 14.88
| sky | 14.8 | 14.5 | 14.6
| S/N | 16.2 | 25.8 | 28.6
| S/N(c) | 16.8 | 22.7 | 16.8
| SN(E/C) | 0.95
|
|
|
|
|
|
|
3120029
| 47
| | Red | Green | Blue
| z | | 19.07
| znorm | | 14.89
| sky | 14.7 | 14.6 | 14.7
| S/N | 16.4 | 25.8 | 28.4
| S/N(c) | 17.1 | 23.0 | 17.1
| SN(E/C) | 0.94
|
|
|
|
|
|
|
3120030
| 47
| | Red | Green | Blue
| z | | 19.08
| znorm | | 14.90
| sky | 14.8 | 14.6 | 14.6
| S/N | 16.6 | 25.8 | 28.3
| S/N(c) | 17.1 | 23.3 | 17.1
| SN(E/C) | 0.95
|
|
|
|
|
|
|
3120031
| 47
| | Red | Green | Blue
| z | | 19.04
| znorm | | 14.86
| sky | 14.6 | 14.5 | 14.5
| S/N | 15.7 | 25.6 | 27.6
| S/N(c) | 16.6 | 22.6 | 16.8
| SN(E/C) | 0.95
|
|
|
|
|
|
|
3120032
| 47
| | Red | Green | Blue
| z | | 19.02
| znorm | | 14.84
| sky | 14.9 | 14.7 | 14.5
| S/N | 15.9 | 25.4 | 27.4
| S/N(c) | 16.3 | 22.4 | 16.6
| SN(E/C) | 0.95
|
|
|
|
|
|
|