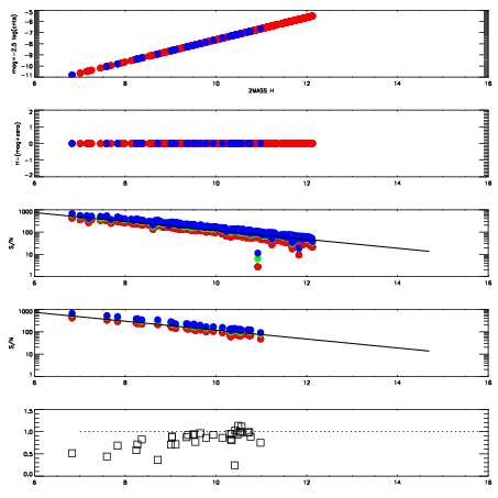
Left plots: red are targets, blue are telluric. Observed mags are calculated from median value of green chip. Zeropoint gives overall throughput: bigger number is more throughput.
First spatial plots: circles are objects, squares are tellurics, crosses are sky fibers. Colors give deviation of observed mag from expected 2MASS mag using the median zeropoint; red is brighter
Second spatial plots: circles are sky fibers. Colors give sky line brightness relative to plate median sky line brightness
FrameNreadsZeropointsMag plots Spatial mag deviation Spatial sky 16325A emission deviations (filled: sky, open: star) Spatial sky continuum emission Spatial sky telluric CO2 absorption deviations (filled: H < 10)
0 0
RedGreenBlue
z17.64
znorm Inf
sky -Inf -Inf -Inf
S/N 29.9 50.9 53.9
S/N(c) 0.0 0.0 0.0
SN(E/C) 0.87

IPAIRNAMESHIFTNEWSHIFTS/N NAMESHIFTNEWSHIFTS/N
0 10250043 0.497940 0.00000 18.9962 10250044 7.08128e-05 0.497869 19.0429
1 10250038 0.496126 0.00181401 19.1918 10250037 0.00000 0.497940 19.1980
2 10250039 0.496173 0.00176701 19.1447 10250040 0.00286965 0.495070 19.1684
3 10250042 0.497570 0.000369996 19.0027 10250041 0.00250890 0.495431 19.1279