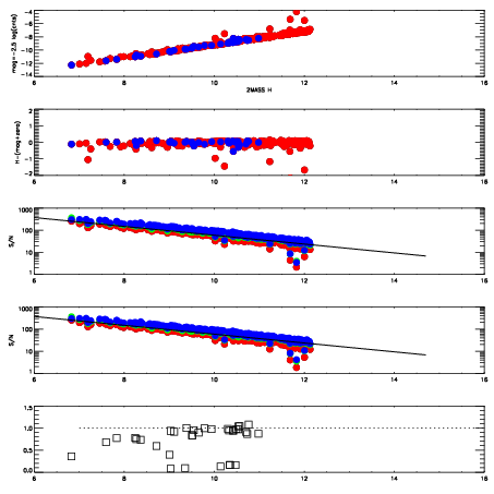
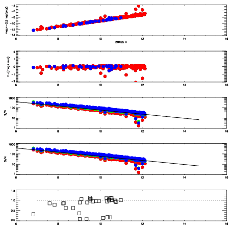
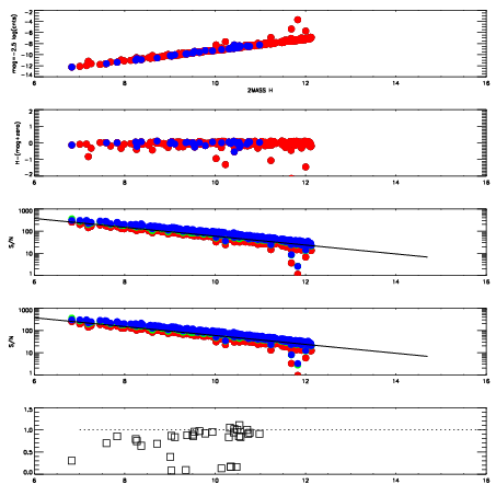
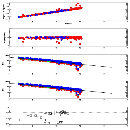
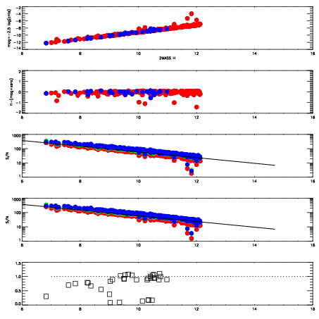
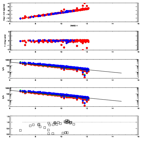
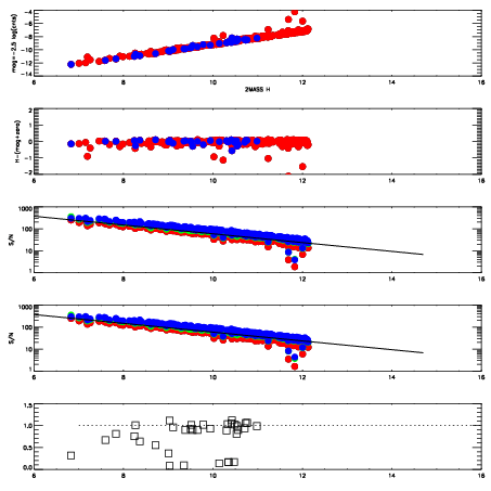
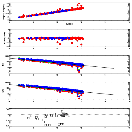
Frame | Nreads | Zeropoints | Mag plots
| Spatial mag deviation
| Spatial sky 16325A emission deviations (filled: sky, open: star)
| Spatial sky continuum emission
| Spatial sky telluric CO2 absorption deviations (filled: H < 10)
|
10430033
| 47
| | Red | Green | Blue
| z | | 19.19
| znorm | | 15.00
| sky | 14.6 | 14.3 | 14.3
| S/N | 16.9 | 26.8 | 28.3
| S/N(c) | 18.3 | 16.5 | 27.1
| SN(E/C) | 0.88
|
|
|
|
|
|
|
10430034
| 47
| | Red | Green | Blue
| z | | 19.19
| znorm | | 15.01
| sky | 14.6 | 14.4 | 14.6
| S/N | 16.9 | 26.8 | 28.9
| S/N(c) | 18.2 | 16.4 | 26.9
| SN(E/C) | 0.85
|
|
|
|
|
|
|
10430035
| 47
| | Red | Green | Blue
| z | | 19.19
| znorm | | 15.01
| sky | 14.6 | 14.5 | 14.6
| S/N | 16.8 | 27.1 | 29.4
| S/N(c) | 18.2 | 16.2 | 27.4
| SN(E/C) | 0.87
|
|
|
|
|
|
|
10430036
| 47
| | Red | Green | Blue
| z | | 19.20
| znorm | | 15.02
| sky | 14.6 | 14.4 | 14.5
| S/N | 17.1 | 27.0 | 29.6
| S/N(c) | 18.3 | 16.6 | 27.5
| SN(E/C) | 0.91
|
|
|
|
|
|
|
10430037
| 47
| | Red | Green | Blue
| z | | 19.19
| znorm | | 15.01
| sky | 14.6 | 14.5 | 14.6
| S/N | 17.1 | 26.9 | 29.4
| S/N(c) | 18.3 | 16.7 | 27.6
| SN(E/C) | 0.90
|
|
|
|
|
|
|
10430038
| 47
| | Red | Green | Blue
| z | | 19.18
| znorm | | 15.00
| sky | 14.6 | 14.5 | 14.5
| S/N | 16.7 | 26.6 | 29.1
| S/N(c) | 18.0 | 16.1 | 27.2
| SN(E/C) | 0.84
|
|
|
|
|
|
|
10430039
| 47
| | Red | Green | Blue
| z | | 19.20
| znorm | | 15.02
| sky | 14.5 | 14.5 | 14.6
| S/N | 16.9 | 27.2 | 29.5
| S/N(c) | 18.3 | 16.4 | 27.6
| SN(E/C) | 0.87
|
|
|
|
|
|
|
10430040
| 47
| | Red | Green | Blue
| z | | 19.16
| znorm | | 14.98
| sky | 14.6 | 14.6 | 14.6
| S/N | 16.2 | 26.4 | 28.4
| S/N(c) | 17.9 | 16.1 | 27.0
| SN(E/C) | 0.93
|
|
|
|
|
|
|