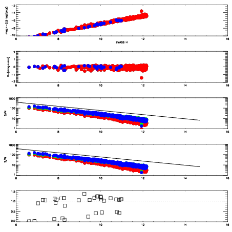
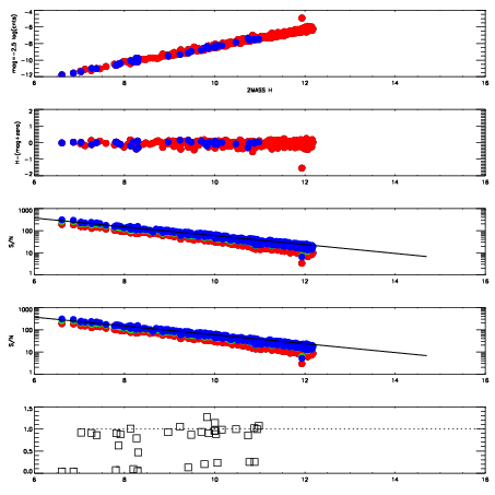
Left plots: red are targets, blue are telluric. Observed mags are calculated from median value of green chip. Zeropoint gives overall throughput: bigger number is more throughput.
First spatial plots: circles are objects, squares are tellurics, crosses are sky fibers. Colors give deviation of observed mag from expected 2MASS mag using the median zeropoint; red is brighter
Second spatial plots: circles are sky fibers. Colors give sky line brightness relative to plate median sky line brightness
FrameNreadsZeropointsMag plots Spatial mag deviation Spatial sky 16325A emission deviations (filled: sky, open: star) Spatial sky continuum emission Spatial sky telluric CO2 absorption deviations (filled: H < 10)
2800010 47
RedGreenBlue
z16.97
znorm12.79
sky 14.9 14.6 14.5
S/N 3.2 6.6 6.3
S/N(c) 6.7 12.4 1.1
SN(E/C) 1.05
2800011 47
RedGreenBlue
z18.40
znorm14.22
sky 15.2 15.1 15.2
S/N 9.8 16.8 17.7
S/N(c) 18.5 27.7 2.5
SN(E/C) 0.88