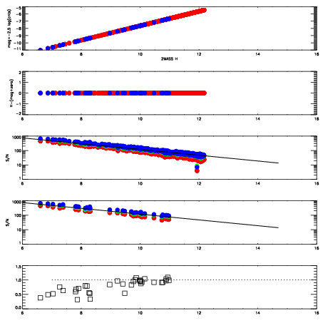
Left plots: red are targets, blue are telluric. Observed mags are calculated from median value of green chip. Zeropoint gives overall throughput: bigger number is more throughput.
First spatial plots: circles are objects, squares are tellurics, crosses are sky fibers. Colors give deviation of observed mag from expected 2MASS mag using the median zeropoint; red is brighter
Second spatial plots: circles are sky fibers. Colors give sky line brightness relative to plate median sky line brightness
FrameNreadsZeropointsMag plots Spatial mag deviation Spatial sky 16325A emission deviations (filled: sky, open: star) Spatial sky continuum emission Spatial sky telluric CO2 absorption deviations (filled: H < 10)
0 0
RedGreenBlue
z17.64
znorm Inf
sky -Inf -Inf -Inf
S/N 23.7 40.5 45.2
S/N(c) 0.0 0.0 0.0
SN(E/C) 0.86

IPAIRNAMESHIFTNEWSHIFTS/N NAMESHIFTNEWSHIFTS/N
0 02820074 0.415338 0.00000 19.0091 02820072 0.000695065 0.414643 19.0386
1 02820073 0.411427 0.00391102 19.0246 02820075 0.000129097 0.415209 19.0551
2 02820070 0.413490 0.00184801 18.8773 02820071 0.00176513 0.413573 18.9933
3 02820069 0.409923 0.00541502 18.7464 02820068 0.00000 0.415338 18.6218