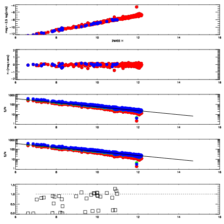
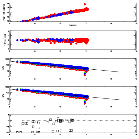
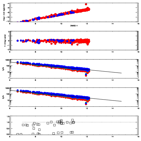
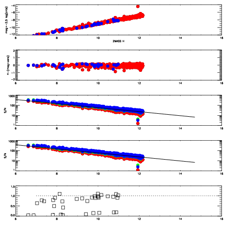
Frame | Nreads | Zeropoints | Mag plots
| Spatial mag deviation
| Spatial sky 16325A emission deviations (filled: sky, open: star)
| Spatial sky continuum emission
| Spatial sky telluric CO2 absorption deviations (filled: H < 10)
|
2830070
| 47
| | Red | Green | Blue
| z | | 18.99
| znorm | | 14.81
| sky | 14.8 | 14.5 | 14.8
| S/N | 14.1 | 22.6 | 23.7
| S/N(c) | 25.6 | 36.9 | 3.4
| SN(E/C) | 0.78
|
|
|
|
|
|
|
2830071
| 47
| | Red | Green | Blue
| z | | 18.93
| znorm | | 14.75
| sky | 14.8 | 14.6 | 14.7
| S/N | 13.5 | 21.7 | 23.5
| S/N(c) | 24.6 | 36.0 | 3.3
| SN(E/C) | 0.83
|
|
|
|
|
|
|
2830072
| 47
| | Red | Green | Blue
| z | | 19.01
| znorm | | 14.83
| sky | 14.8 | 14.6 | 14.8
| S/N | 14.2 | 22.5 | 24.9
| S/N(c) | 26.3 | 37.4 | 3.4
| SN(E/C) | 0.82
|
|
|
|
|
|
|
2830073
| 47
| | Red | Green | Blue
| z | | 19.04
| znorm | | 14.86
| sky | 14.8 | 14.7 | 14.7
| S/N | 13.9 | 22.9 | 25.3
| S/N(c) | 26.4 | 37.9 | 3.5
| SN(E/C) | 0.84
|
|
|
|
|
|
|
2830074
| 47
| | Red | Green | Blue
| z | | 19.07
| znorm | | 14.89
| sky | 15.0 | 14.7 | 14.7
| S/N | 14.3 | 23.2 | 25.6
| S/N(c) | 26.8 | 38.6 | 3.5
| SN(E/C) | 0.76
|
|
|
|
|
|
|
2830075
| 47
| | Red | Green | Blue
| z | | 19.07
| znorm | | 14.89
| sky | 14.7 | 14.7 | 14.7
| S/N | 14.3 | 23.2 | 25.8
| S/N(c) | 26.7 | 38.8 | 3.5
| SN(E/C) | 0.79
|
|
|
|
|
|
|
2830076
| 47
| | Red | Green | Blue
| z | | 19.00
| znorm | | 14.82
| sky | 14.8 | 14.7 | 14.7
| S/N | 13.6 | 22.5 | 24.5
| S/N(c) | 25.8 | 37.5 | 3.4
| SN(E/C) | 0.85
|
|
|
|
|
|
|
2830077
| 47
| | Red | Green | Blue
| z | | 18.94
| znorm | | 14.76
| sky | 15.0 | 14.9 | 14.9
| S/N | 12.7 | 21.8 | 23.4
| S/N(c) | 24.4 | 35.7 | 3.3
| SN(E/C) | 0.81
|
|
|
|
|
|
|