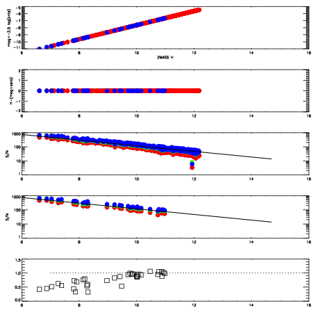
Left plots: red are targets, blue are telluric. Observed mags are calculated from median value of green chip. Zeropoint gives overall throughput: bigger number is more throughput.
First spatial plots: circles are objects, squares are tellurics, crosses are sky fibers. Colors give deviation of observed mag from expected 2MASS mag using the median zeropoint; red is brighter
Second spatial plots: circles are sky fibers. Colors give sky line brightness relative to plate median sky line brightness
FrameNreadsZeropointsMag plots Spatial mag deviation Spatial sky 16325A emission deviations (filled: sky, open: star) Spatial sky continuum emission Spatial sky telluric CO2 absorption deviations (filled: H < 10)
0 0
RedGreenBlue
z17.64
znorm Inf
sky -NaN -Inf -NaN
S/N 23.7 41.5 45.4
S/N(c) 0.0 0.0 0.0
SN(E/C) 0.86

IPAIRNAMESHIFTNEWSHIFTS/N NAMESHIFTNEWSHIFTS/N
0 02830072 0.414633 0.00000 18.9830 02830073 0.00422078 0.410412 19.0074
1 02830075 0.411590 0.00304300 19.0402 02830074 0.000466309 0.414167 19.0378
2 02830076 0.412091 0.00254202 18.9680 02830070 0.00000 0.414633 18.9644
3 02830071 0.413871 0.000762016 18.9098 02830077 0.00301484 0.411618 18.8952