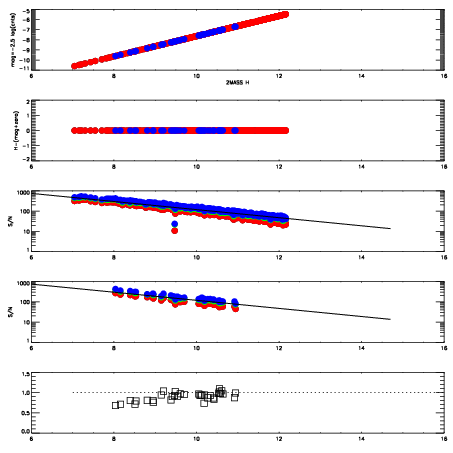
Left plots: red are targets, blue are telluric. Observed mags are calculated from median value of green chip. Zeropoint gives overall throughput: bigger number is more throughput.
First spatial plots: circles are objects, squares are tellurics, crosses are sky fibers. Colors give deviation of observed mag from expected 2MASS mag using the median zeropoint; red is brighter
Second spatial plots: circles are sky fibers. Colors give sky line brightness relative to plate median sky line brightness
FrameNreadsZeropointsMag plots Spatial mag deviation Spatial sky 16325A emission deviations (filled: sky, open: star) Spatial sky continuum emission Spatial sky telluric CO2 absorption deviations (filled: H < 10)
0 0
RedGreenBlue
z17.64
znorm Inf
sky -Inf -Inf -Inf
S/N 25.2 43.5 47.2
S/N(c) 0.0 0.0 0.0
SN(E/C) 0.93

IPAIRNAMESHIFTNEWSHIFTS/N NAMESHIFTNEWSHIFTS/N
0 02890062 0.397231 0.00000 18.8739 02890063 0.00178163 0.395449 18.9824
1 02890066 0.394206 0.00302503 19.0538 02890067 -0.000429319 0.397660 19.0497
2 02890065 0.393881 0.00335002 19.0509 02890064 -0.00335427 0.400585 19.0265
3 02890061 0.396114 0.00111702 19.0214 02890060 0.00000 0.397231 19.0241