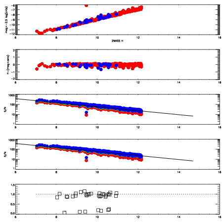
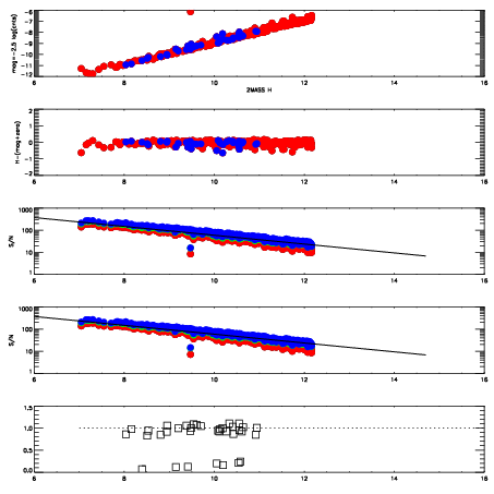
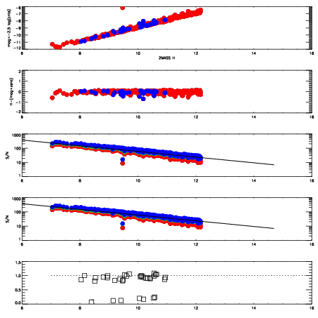
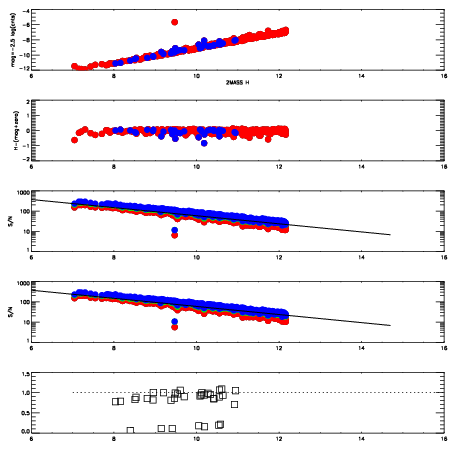
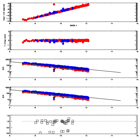
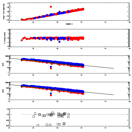
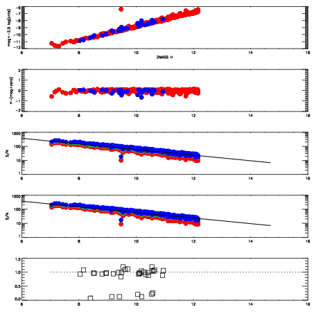
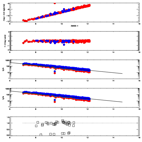
Frame | Nreads | Zeropoints | Mag plots
| Spatial mag deviation
| Spatial sky 16325A emission deviations (filled: sky, open: star)
| Spatial sky continuum emission
| Spatial sky telluric CO2 absorption deviations (filled: H < 10)
|
2920008
| 47
| | Red | Green | Blue
| z | | 18.73
| znorm | | 14.55
| sky | 14.5 | 14.4 | 14.3
| S/N | 13.2 | 21.9 | 21.9
| S/N(c) | 12.5 | 10.2 | 13.4
| SN(E/C) | 0.96
|
|
|
|
|
|
|
2920009
| 47
| | Red | Green | Blue
| z | | 18.93
| znorm | | 14.75
| sky | 14.5 | 14.6 | 14.7
| S/N | 14.6 | 23.8 | 25.3
| S/N(c) | 13.7 | 11.4 | 15.1
| SN(E/C) | 0.94
|
|
|
|
|
|
|
2920010
| 47
| | Red | Green | Blue
| z | | 19.06
| znorm | | 14.88
| sky | 14.5 | 14.6 | 14.7
| S/N | 15.6 | 25.8 | 26.9
| S/N(c) | 14.6 | 12.0 | 16.0
| SN(E/C) | 0.95
|
|
|
|
|
|
|
2920011
| 47
| | Red | Green | Blue
| z | | 19.13
| znorm | | 14.95
| sky | 14.5 | 14.7 | 14.5
| S/N | 16.1 | 26.3 | 27.6
| S/N(c) | 15.1 | 12.3 | 16.3
| SN(E/C) | 0.88
|
|
|
|
|
|
|
2920012
| 47
| | Red | Green | Blue
| z | | 18.85
| znorm | | 14.67
| sky | 14.7 | 14.9 | 14.7
| S/N | 13.1 | 22.6 | 23.4
| S/N(c) | 12.8 | 10.7 | 14.1
| SN(E/C) | 0.96
|
|
|
|
|
|
|
2920013
| 47
| | Red | Green | Blue
| z | | 18.91
| znorm | | 14.73
| sky | 14.8 | 14.7 | 14.8
| S/N | 13.7 | 23.3 | 24.2
| S/N(c) | 13.1 | 11.0 | 14.5
| SN(E/C) | 0.92
|
|
|
|
|
|
|
2920014
| 47
| | Red | Green | Blue
| z | | 18.93
| znorm | | 14.75
| sky | 14.7 | 14.7 | 14.7
| S/N | 14.0 | 23.4 | 24.6
| S/N(c) | 13.4 | 11.1 | 14.7
| SN(E/C) | 0.92
|
|
|
|
|
|
|
2920015
| 47
| | Red | Green | Blue
| z | | 18.94
| znorm | | 14.76
| sky | 14.7 | 14.7 | 14.8
| S/N | 14.2 | 23.3 | 24.6
| S/N(c) | 13.3 | 11.2 | 14.9
| SN(E/C) | 0.94
|
|
|
|
|
|
|